XVDEVIOS官方下载免费版,XVDEVIOS破解版安卓手机安装包,XDEVIOS官方免费版安装,XVDEVIOS中文版安装包

芬兰Kibron专注XVDEVIOS破解版安卓手机安装包测量技术,快速精准测量动静态表面张力

热线:021-66110810,66110819,66110690,13564362870 Email: info@vizai.cn

合作客户/

拜耳公司.jpg

拜耳公司

同济大学

同济大学

联合大学.jpg

联合大学

宝洁公司

美国保洁

强生=

美国强生

瑞士罗氏

瑞士罗氏

当前位置首页 > 新闻中心

基于界面张力消失法计算CO2-原油最小混相压力

来源:西南石油大学 浏览 1389 次 发布时间:2024-06-21

油藏在经历一次采油(衰竭式采油)和二次采油(注水采油)后平均采收率仅能达到15-20%左右,CO2气体具有降低原油粘度、膨胀系数大、与原油混相降低界面张力等优点,可在油田注水开发基础上提高采收率约5~10个百分点。

CO2驱油可分为非混相驱与混相驱,混相驱提高采收率的效果远远高于非混相驱,非混相驱与混相驱最重要的区别为是否形成CO2-原油混相带,混相带的运移类似于活塞式驱油,CO2与原油通过多次接触形成混相之后,界面张力消失,毛管力等于零,理论上的洗油效率能达100%。

CO2-原油混相带的运移在地层中无法直观的观察到,多孔介质中混相带的运移难以描述,CO2混相驱开发动态特征难以预测,会影响采油方案的调整和注气参数的制定,降低CO2混相驱的开发效率与CO2的利用效率。本方法基于B-L方程提出考虑CO2与原油之间混相程度、储层重力效应的CO2混相驱混相带前缘位置的新方法,对揭示CO2混相驱油规律有重大意义。

一种确定油藏尺度CO2混相驱混相带前缘位置的新方法,包括如下步骤:

步骤1、获取储层的孔隙度Φ、渗透率K、井距L、地层倾角θ、油相密度ρo、气相密度ρg、油相粘度μo、气相粘度μg

基本信息;

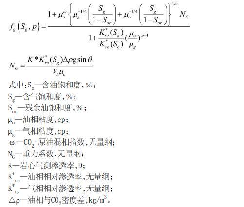
步骤2、利用界面张力消失法获取CO2-原油最小混相压力,并根据不同压力下油气界面张力计算CO2-原油混相指数;

界面张力消失法获取CO2-原油最小混相压力及CO2-原油混相指数的计算如下:

使用石油醚将高温高压界面张力仪中的悬滴室清洗干净,清洗之后用热氮气吹扫,将悬滴室抽至真空;

将测试系统加热至地层温度后保持恒定,随后向悬滴室内逐渐注入CO2的同时对系统加压达到实验设定压力值;

测试系统压力和温度趋于稳定后,在预定的压力值下将地层原油样品通过毛细探针缓慢地向悬滴室注入,当油滴在探针顶端形成稳定的油滴时,用装置中的摄像系统拍下油滴形状的图片,根据油滴的形状用Andreas选面法计算出CO2-原油间的界面张力。至此完成一个压力下的界面张力测试;

将悬滴室重新洗净,改变压力重复上述步骤进行其他压力下的CO2-原油界面张力测试,直至油相在悬滴室中的CO2中不能形成完整的油滴时结束实验。

基于不同压力CO2-油界面张力变化计算CO2-原油混相指数的公式为:

步骤3、在CO2驱油过程中,存在气相与油相两相速度场,基于达西定律计算倾斜储层中油相与气相的运移速度;

基于达西定律计算倾斜储层中油相与气相的运移速度的公式如下:

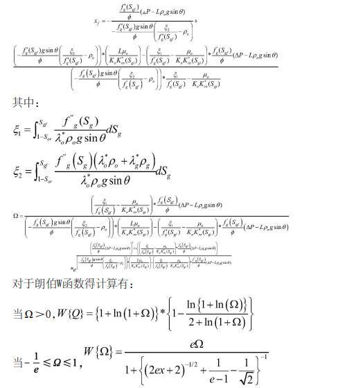
步骤4、基于B-L方程、质量守恒方程、气体分流率方程,利用油藏中油/气运移速度方程得到CO2混相驱混相带前缘位置模型。

结合CO2黏度、原油黏度,推导出具有重力效应的带倾角储层气体分流率方程为:

将速度场方程与气体分流率方程结合,在遵循气体质量守恒的基础上,从CO2入口端到混相带前缘对含气饱和度进行积分,并用朗伯W函数求解得出混相前缘的位置,其表达式如下:

网站地图