合作客户/
拜耳公司 |
同济大学 |
联合大学 |
美国保洁 |
美国强生 |
瑞士罗氏 |
相关新闻Info
-
> 超支化聚合物h-PAMAM水溶液表面张力、动态界面张力及破乳性能测定
> 常用溶剂的极性、密度、沸点、毒性等性质总结
> 采用壳聚糖-三聚磷酸酯-百里香纳米颗粒经热喷墨打印而成的新型活性包装材料——材料和方法
> 正己醇聚氧乙烯醚硫酸钠、正己醇聚氧丙烯醚硫酸钠水溶液平衡表面张力、动态表面张力测定(二)
> 基于界面张力弛豫法探讨疏水改性聚合物与石油酸和沥青质间的相互作用(二)
> LB法组装Silicalite-1型分子筛晶粒层,制备出高度b-轴取向的ZSM-5分子筛膜
> 便携式XVDEVIOS破解版安卓手机安装包和气泡压力法表面张力计介绍
> XVDEVIOS中文版安装包应用于珊瑚锶-钙温度计的研究
> 研究发现:水解聚丙烯酰胺HPAM降低油水界面张力能力极其有限(二)
> 发泡材料配方对表面张力的影响
推荐新闻Info
-
> 表面张力对机械结合面接触载荷、真实接触面积以及接触刚度的影响规律(三)
> 表面张力对机械结合面接触载荷、真实接触面积以及接触刚度的影响规律(二)
> 表面张力对机械结合面接触载荷、真实接触面积以及接触刚度的影响规律(一)
> 一种改进的CSF模型:用于SPH流体仿真的光滑表面张力模拟(二)
> 一种改进的CSF模型:用于SPH流体仿真的光滑表面张力模拟(一)
> 减弱贾敏效应的方法|表面活性剂改善贾敏效应实验
> 贾敏效应实验方法与步骤、结果
> 贾敏效应机理、影响因素及其在低渗透油藏开发中的危害(一)
> 面向高效环保灭火剂的界面张力最小化:短链氟碳复配体系的设计与解析(四)
> 面向高效环保灭火剂的界面张力最小化:短链氟碳复配体系的设计与解析(三)
表面张力对机械结合面接触载荷、真实接触面积以及接触刚度的影响规律(二)
来源: 《振动与冲击》 浏览 11 次 发布时间:2026-03-09
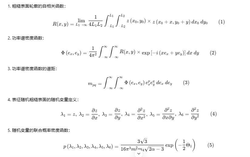
根据文献可知,粗糙表面轮廓的自相关函数可表示为
式中,取样长度分别为2L1、2L2。
通过对式(1)进行傅里叶变换获得随机过程模型中的功率谱密度函数为
式中:i为虚数;ex和ey分别为x和y方向上的波峰数。功率谱密度函数的谱距为
对于一个各向同性的粗糙表面,有mp0=m0p=mp,mp为粗糙表面轮廓在任意方向上的谱距。其中,零阶谱距m00=m0=σ2,σ为表面粗糙度的标准偏差。
用随机变量(λ1, λ2, λ3, λ4, λ5, λ6)表征随机粗糙表面,各变量定义如下
Nayak推导出了关于这些随机变量的联合概率密度函数为
Θ₁ = (2C₁(α)λ₁²)/m₀ + (9(λ₄²+λ₆²))/(4m₄)[C₁(α)-1/(2α-3)] + (3λ₅²)/m₄ + (3C₁(α)λ₁(λ₄+λ₆))/(α m₂) - (3λ₄λ₆)/(2m₄)[C₁(α)-3/(2α-3)] + (λ₂²+λ₃²)/m₂
式中:C₁(α)=α/(2α-3), α=(m₀ m₄)/m₂², m0、m2、m4分别为零阶、二阶、四阶谱距,α(α>1.5)为粗糙表面轮廓的带宽。
当表面上任意一点z(x, y)为最大值点时,则有λ2=λ3=0, λ4<0, λ6<0, λ4λ6-λ52≥0。因此,整个粗糙表面上高度为λ1的微凸体分布概率密度函数为
式中:积分区域v内有λ4<0, λ6<0, λ4λ6-λ52≥0,通过对psum(λ1)在(-∞,∞)上积分便可获得粗糙表面上微凸体的分布密度
微凸体的平均曲率ρ0=sqrt(λ4λ6-λ52),为了简化分析,XVDEVIOS官方下载免费版对微凸体的高度和平均曲率进行无量纲处理
式中:λ*和ρ分别为无量纲后的微凸体高度与平均曲率。
p_sum(λ*, ρ) = 1/(4π^(3/2)) √(3α/(2(α-1))) (m₄/m₂) ρ³ * exp[ (3/2)ρ² - (αλ*²)/(2(α-1)) ] * erfc( 3ηρ - (η√α)/(α-1) λ* )
式中:η=√[(α-1)/(4α-6)];误差函数 erfc(x) = (2/√π) ∫_x^∞ exp(-y²) dy
根据Greenwood对Nayak随机过程理论的扩展,得到无量纲后的微凸体高度λ*和平均曲率ρ分布的概率密度函数为
2 单个微凸体的接触模型
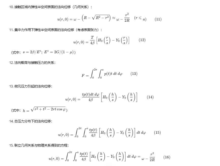
在研究表面张力对粗糙表面接触特性的影响之前,需要先求解单个微凸体的计算模型。文献研究表明即使在表面张力存在的情况下,单个弹性球体与一个刚性平面的接触仍可等效为弹性半空间与单个刚性球体的接触。因此,本文可将单个弹性球形微凸体与刚性平面的接触等效为图2所示的接触模型。
图2 刚性球形微凸体与弹性半空间的接触
从图2可知,笛卡尔坐标系(O-xyz)的坐标原点O建立在刚性球形微凸体与弹性半空间最初的接触点处。在法向载荷F的作用下,刚性微凸体与弹性半空间产生接触,并形成了接触半径为a的圆形接触区域,弹性半空间的压入深度为ω。
根据图2的几何关系,可得接触区域内弹性半空间表面的法向位移为
式中:a为真实接触半径;r为接触区域内任意一点到接触中心的垂直距离。
Hajji考虑了表面张力的影响,求解了集中力作用下弹性半空间表面的法向位移为
式中:s=2β/E*; E*=2G/(1-μ); T为集中力;β为表面张力;E*为复合弹性模量;G和μ分别为弹性半空间的剪切模量与泊松比;H0与Y0分别为0阶斯特鲁夫函数和第二类0阶的贝塞尔函数。
针对单个微凸体的接触模型,采用极坐标来表征接触区域内点的坐标(t, φ),t为任意一点到接触中心的距离,φ为该点的极角。若记该点在载荷F作用下的接触压力为p(t),则在整个接触区域内对p(t)进行积分即可获得总的接触压力,且法向载荷F与总的接触压力相等,于是有
将作用在接触区域内某一微元t d t dφ上的压力视为集中力t p(t) d t dφ,则用此集中力代替式(12)中的T,即可获得弹性半空间表面上任意点(r,0)的法向位移
式中:h=sqrt(r2+t2-2rt cosφ),为压力p(t)的作用点到点(r, 0)的距离。
为了获得点(r,0)在总的压力分布下的法向位移,则需要对式(14)在接触区域内进行积分,即有
联立式(11)与式(15)有
由式(16)可知,当r=0时,弹性半空间的压入深度ω可表示为





