XVDEVIOS官方下载免费版,XVDEVIOS破解版安卓手机安装包,XDEVIOS官方免费版安装,XVDEVIOS中文版安装包

芬兰Kibron专注XVDEVIOS破解版安卓手机安装包测量技术,快速精准测量动静态表面张力

热线:021-66110810,66110819,66110690,13564362870 Email: info@vizai.cn

合作客户/

拜耳公司.jpg

拜耳公司

同济大学

同济大学

联合大学.jpg

联合大学

宝洁公司

美国保洁

强生=

美国强生

瑞士罗氏

瑞士罗氏

当前位置首页 > 新闻中心

基于黄芪胶、指甲花提取物制备纳米天然表面活性剂的界面张力测量(二)

来源:petroleum期刊 油气 浏览 1255 次 发布时间:2024-06-27

本研究研究了石墨烯、二氧化钛(TiO2)和二氧化硅(SiO2)纳米颗粒、TiO2和石墨烯的复合纳米粒子以及指甲花提取物表面活性剂的纳米复合物对降低油水界面张力的影响。研究人员使用溶胶-凝胶技术合成上述纳米颗粒,并采用天然水性悬浮表面活性剂(黄芪胶提取物)对纳米表面活性剂的稳定性进行了研究。通过电导率、浊度和界面张力实验测定了指甲花提取物表面活性剂的CMC值。为了稳定重量百分比不同且纳米颗粒类型也不同的纳米表面活性剂,使用粒径和zeta电位测量来确定黄芪胶表面活性剂各自的最佳浓度。最后,通过界面张力测量,使用稳定的纳米表面活性剂来研究其对IFT的影响。

表1.指甲花和黄芪胶提取物的物性

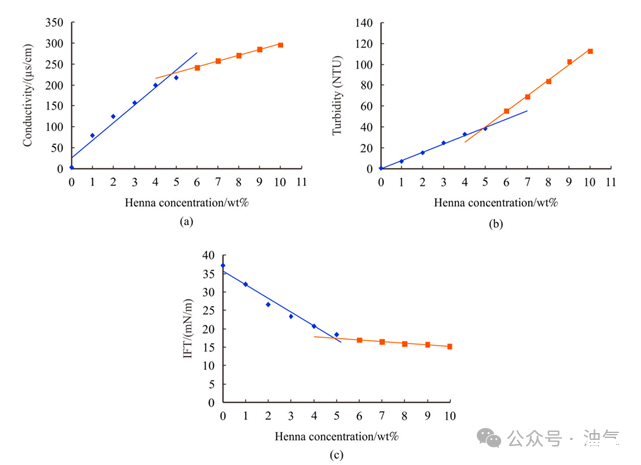
图1.(a)电导率、(b)浊度和(c)界面张力随指甲花溶液浓度的变化

表2.本研究中使用的纳米表面活性剂的物性

图2.IFT随纳米粒子浓度变化而变化。误差条代表对每种纳米表面活性剂进行的三种不同界面张力测量的标准偏差

图3.不同表面活性剂在煤油中作为油相的界面张力:Seidlitzia Rosmarinus、桑叶、洋甘菊、雪松和纳米流体、皂角苷(叙利亚枣树)和指甲花。误差线表示±5%的标准偏差


结论


由于全球能源需求迅速增长,且目前的EOR技术在最佳状态下能够将采收率提高到60%,因此工程师们也一直在寻找新方法增加油藏中圈闭油的产量。而这些新方法不仅要能提高原油采收率,而且必须具有环保性且经济效益好,还要能使用于油田。天然表面活性剂和纳米颗粒同时作为注入流体,可以最大程度上上满足上述要求。纳米流体驱的EOR工艺面临许多挑战和限制,包括纳米颗粒在溶液中的稳定性、纳米流体与地层岩石和储层流体的相互作用、制备和注入纳米流体的专用设备不足以及恶劣储层条件下的应用等。解决以上问题可以使纳米流体在提高EOR方面获得重大进展。实验证明,天然纳米表面活性剂可以很好地替代工业表面活性剂和聚合物。本研究的主要结论如下:


1.界面张力测量显示,将指甲花提取物添加到水中可以使油水之间的界面张力值从37mN/m降低到15.24mN/m。


2.在PUT化学实验室采用溶胶-凝胶法合成了TiO2、SiO2以及TiO2与石墨烯纳米粒子的纳米复合物,XRD、FESEM、EDAX和FTIR测试结果证实这些合成方法确实可行。


3.本研究首次使用一种名为黄芪胶提取物的天然水性悬浮表面活性剂来稳定不同的纳米流体,时间为24小时。通过粒度和zeta电位测试确定了该表面活性剂的最佳重量百分比。


4.界面张力测量表明,根据CMC值向指甲花提取物中添加纳米颗粒(纳米表面活性剂)对油和纳米表面活性剂之间的界面张力值有轻微影响,在最佳状态下,向指甲花提取液中添加1wt%的TiO2纳米颗粒后,界面张力从18.43mN/m降低到14.57mN/m。


5.单独的石墨烯纳米颗粒对降低油水界面张力的影响可以忽略不计。加之其与TiO2纳米颗粒(纯TiO2纳米颗粒)合成TiO2/石墨烯纳米复合材料时,不利于发挥作用。因此,石墨烯纳米颗粒对EOR来说在操作上和经济上都不可行。


6.TiO2纳米表面活性剂是降低油水界面张力第二好的天然表面活性剂,其效果与工业表面活性剂一样突出。


网站地图