合作客户/
拜耳公司 |
同济大学 |
联合大学 |
美国保洁 |
美国强生 |
瑞士罗氏 |
相关新闻Info
-
> 不同质量浓度、pH、盐度对三七根提取物水溶液表面张力的影响(二)
> 药物制剂中常用的非离子型表面活性剂
> 引气剂的界面活性作用与使用注意事项
> 不同干燥方式对蛋清蛋白功能特性、溶解度、接触角、表面张力的影响(四)
> 硅丙乳液质量分数与粘度、表面张力的关系及在模拟病害壁画修复中的应用(四)
> 仲醇聚氧乙烯醚硫酸盐平衡和动态表面张力及应用性能研究(二)
> 表面张力在微孔曝气法制备微气泡中的核心作用——基于实验研究的深度解析
> 基于水煤浆流变性和动态表面张力观察水煤浆的微观破裂特性(三)
> 新型十六烷基胺无碱表面活性剂的合成、界面性能及复配性能(二)
> 5种聚萜烯马来酸酐聚乙二醇酯高分子表面活性剂表面张力、乳化性能等研究(二)
推荐新闻Info
-
> 表面张力对机械结合面接触载荷、真实接触面积以及接触刚度的影响规律(四)
> 表面张力对机械结合面接触载荷、真实接触面积以及接触刚度的影响规律(三)
> 表面张力对机械结合面接触载荷、真实接触面积以及接触刚度的影响规律(二)
> 表面张力对机械结合面接触载荷、真实接触面积以及接触刚度的影响规律(一)
> 一种改进的CSF模型:用于SPH流体仿真的光滑表面张力模拟(二)
> 一种改进的CSF模型:用于SPH流体仿真的光滑表面张力模拟(一)
> 减弱贾敏效应的方法|表面活性剂改善贾敏效应实验
> 贾敏效应实验方法与步骤、结果
> 贾敏效应机理、影响因素及其在低渗透油藏开发中的危害(一)
> 面向高效环保灭火剂的界面张力最小化:短链氟碳复配体系的设计与解析(四)
高盐油藏下两性/阴离子表面活性剂协同获得油水超低界面张力的方法(二)
来源:物理化学学报 浏览 1436 次 发布时间:2024-12-03
3、结果与讨论
3.1两性表面活性剂溶液与原油的动态界面张力
两性表面活性剂HDAPS在室温和60°C盐水中均具有很好的溶解性,如在矿化度为20000 mg·L-1,其中Mg2+和Ca2+总浓度为1000 mg·L-1时,HDAPS溶液长时间放置均不会产生沉淀,这表明HDAPS与高盐矿化水具有非常好的相容性。在60°C时,以模拟矿化水配制的不同浓度HDAPS溶液与原油的界面张力(IFT)随时间变化的动态界面张力(DIT)曲线如图1所示。从图中可以看出,在HDAPS浓度为0.07%-0.39%(质量分数)范围内,动态界面张力最低值(DITmin)可以达到10-2mN·m-1量级,并不能达到超低界面张力。而且,随着测试时间的增长,界面张力逐渐升高到10-1mN·m-1量级。
图1不同浓度表面活性剂HDAPS溶液与原油的动态界面张力(DIT)
3.2两性/阴离子表面活性剂混合体系与原油的动态界面张力
3.2.1表面活性剂浓度对动态界面张力的影响
单一两性表面活性剂HDAPS并不能使油水界面张力降到超低水平,因此,通过阴离子型表面活性剂SDS与HDAPS复配,考察HDAPS/SDS混合体系与原油的界面张力。首先,定义阴离子型表面活性剂的摩尔分数(X)为,
此处,c为表面活性剂的摩尔浓度。X为0.25时,不同表面活性剂总浓度下,HDAPS/SDS混合体系与原油的界面张力随时间的变化如图2所示。从图中可以看出,与HDAPS/油/水动态界面张力相比,HDAPS/SDS混合体系与原油的动态界面张力表现出两个显著的不同点。首先,HDAPS/SDS混合体系的界面张力随测定时间的增长逐渐降低至基本不变,即动态界面张力的最低值DITmin与平衡值DITeq相同,且达到平衡界面张力的时间非常短,小于12 min;其次,在表面活性剂总浓度仅为0.01%时,体系就可以达到9.7×10-3mN·m-1的超低界面张力;继续增加表面活性剂的总浓度超过0.04%后,体系的界面张力可以达到极低的10-5mN·m-1量级。
图2不同浓度HDAPS/SDS(X=0.25)混合表面活性剂溶液与原油的动态界面张力
3.2.2矿化度对动态界面张力的影响
配制溶液所用的是高矿化度且含有高浓度二价金属离子的模拟矿化水,从上面的实验结果中看出,HDAPS/SDS混合体系在高盐条件下可以与原油达到超低界面张力。考虑到在实际应用过程中地层水的矿化度可能发生变化,恒定模拟水中Na+、Mg2+和Ca2+中两种金属离子的浓度,考察了Na+、Mg2+和Ca2+浓度变化对HDAPS/SDS混合体系与原油界面张力的影响,实验结果如图3所示。从图中可以看出,模拟水中Na+浓度在1500-4500 mg·L-1、Mg2+浓度在120-360 mg·L-1和Ca2+浓度在200-800 mg·L-1范围内变化时,HDAPS/SDS混合体系与原油的界面张力均可达到超低界面张力,这说明在高矿化度和高浓度二价金属离子条件下,HDAPS/SDS混合体系也表现出非常优异的界面活性。
图3金属离子浓度对HDAPS/SDS混合表面活性剂溶液与原油的动态界面张力的影响
综合上面的结果,HDAPS/SDS混合体系与原油的界面张力行为具有如下的特点:
第一,HDAPS/SDS混合体系可以在无碱条件下与原油达到超低界面张力。HDAPS/SDS混合体系作为驱油剂不仅可以获得利于提高剩余油洗油效率的超低界面张力,而且可以避免碱剂引起的一系列问题。
第二,HDAPS/SDS混合体系具有优异的耐盐性能。在高矿化度和高Mg2+、Ca2+浓度下,HDAPS/SDS体系能够与模拟矿化水具有很好的相容性并与原油能够形成超低界面张力,使得该体系能够满足高盐油藏提高采收率技术的需求。
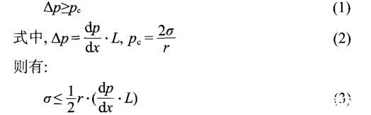
第三,HDAPS/SDS混合体系的动态界面张力达到超低界面张力的时间非常短,且能够在极低的平衡界面张力下维持。由于在实际驱油过程中,驱油体系是在流动的状态下与原油接触,在短时间内达到超低界面张力,对原油从岩石上启动非常有利。而且,HDAPS/SDS混合体系与原油的界面张力在总浓度超过0.04%后就可以达到极低的10-5mN·m-1量级。对于存在于半径为r的毛细管中长度为L的剩余油滴,当油滴两端的驱动压差Δp大于等于毛细管压力pc时,剩余油滴才能够活化启动,7即有:
则有:
式中σ为油水界面张力,r为孔隙介质毛细管半径。从式(3)中可以看出,在驱动压力梯度(dp/dx)和油滴长度(L)一定的情况下,油水界面张力越低,可以活化的孔隙介质毛细管半径越小。界面张力达到10-5mN·m-1量级则可以活化低渗透率或超低渗透率油层,这表明HDAPS/SDS混合溶液将有利于大幅度提高低渗或超低渗透率油层的采收率。
第四,HDAPS/SDS混合体系可以在非常宽的浓度范围内和低浓度下与原油达到超低界面张力,这对于该体系应用于提高采收率是非常重要的。由于表面活性剂在岩石表面存在吸附损失和稀释效应,现场实际应用中需要注入比室内研究中获得最优界面张力的浓度更高的表面活性剂溶液。获得较好的驱油效果要求体系在注入浓度下与原油形成超低界面张力,并具有良好的抗稀释性。而以往室内研究获得的大多数表面活性剂驱油体系存在一个重要问题是达到超低界面张力的浓度范围窗口非常窄,26在注入和地层中流动过程中很难维持超低界面张力。HDAPS/SDS混合体系在浓度为0.01%-0.37%时均可与原油形成超低界面张力,表明体系的浓度窗口非常宽。而且,0.01%的HDAPS/SDS混合体系与原油形成超低界面张力也能够有效降低驱油体系的成本,具有重要的应用价值。





