合作客户/
拜耳公司 |
同济大学 |
联合大学 |
美国保洁 |
美国强生 |
瑞士罗氏 |
相关新闻Info
-
> 不同稠油下油相中芳烃含量、水相pH值对油-水界面张力变化规律
> 猪肉、鸡肉和鱼肉肌浆蛋白油-水界面性质、氨基酸组成、蛋白质构象研究(三)
> 表面能和表面张力关系,如何降低表面张力
> 基于天然植物油的酰胺胺氧化合物的合成表征及表面性质——结论、致谢!
> 一文了解带锈涂装涂料类型、作用及用途
> 液态合金表面张力快速检测及相关质量参数实时评价
> 生物表面活性剂产生菌的筛选及对PAHs污染环境的修复效果研究(二)
> 全自动XVDEVIOS破解版安卓手机安装包问题解决
> 基于悬滴法测量硅油黏滞液体的表面张力系数——实验原理
> 电子微量天平应用实例:研究氮修饰木质素基超交联聚合物碘吸附机理
推荐新闻Info
-
> 表面张力对机械结合面接触载荷、真实接触面积以及接触刚度的影响规律(四)
> 表面张力对机械结合面接触载荷、真实接触面积以及接触刚度的影响规律(三)
> 表面张力对机械结合面接触载荷、真实接触面积以及接触刚度的影响规律(二)
> 表面张力对机械结合面接触载荷、真实接触面积以及接触刚度的影响规律(一)
> 一种改进的CSF模型:用于SPH流体仿真的光滑表面张力模拟(二)
> 一种改进的CSF模型:用于SPH流体仿真的光滑表面张力模拟(一)
> 减弱贾敏效应的方法|表面活性剂改善贾敏效应实验
> 贾敏效应实验方法与步骤、结果
> 贾敏效应机理、影响因素及其在低渗透油藏开发中的危害(一)
> 面向高效环保灭火剂的界面张力最小化:短链氟碳复配体系的设计与解析(四)
裂缝性水封气藏解封过程中润湿反转剂浓度、气水界面张力变化(二)
来源:天然气工业 浏览 1170 次 发布时间:2025-02-07
2裂缝性水封气藏解封孔隙尺度模拟
在明确储层物性、润湿性、水封程度、裂缝压力对解封压差影响规律的基础上,建立裂缝性水封气藏解封的微观排水孔隙尺度模型,研究壁面润湿性、气水界面张力和裂缝压力对微观气驱排水和解封效率的影响规律,揭示解封过程的微观排水作用机制。
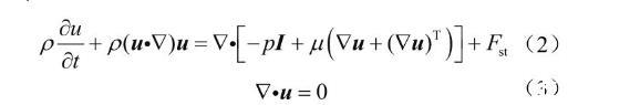
2.1控制方程
在计算流体力学中,控制方程是描述流体运动的基本数学方程。控制方程主要包括动量守恒方程(N—S方程)和质量守恒方程(连续性方程),如下所示[36]:
式中ρ表示流体密度,kg/m3;u表示速度矢量,m/s;p表示压力,Pa;I表示单位矩阵;μ表示流体的动力黏度,mPa·s;Fst表示气水两相的界面张力,N/m。
2.2界面追踪方程
为更准确地模拟微观排水过程的气水两相流动行为,通过N—S方程和质量守恒方程描述多相流体流动机制,同时耦合关于相变量的界面追踪法(水平集法、流体体积法、相场法等)追踪气水界面。本文采用水平集方法,该方法可以在固定网格上进行数值计算,大幅降低计算复杂度。在气水两相流中,引入水平集函数(φ)来定义各自的体积分数,用来描述具有一定厚度的相界面,它是一个从0到1呈梯度变化的值,其中φ=0表示流体为气相,φ=1表示流体为水相,取φ=0.5的等值面作为相界面。水平集方法相变量的演化方程如式(4)所示,描述了微观排水过程的气水界面变化[37-38]。
式描述相界面的移动,其中表示时间的积累项,表示对流项,φ表示水平集函数;γ表示水平集函数重新初始化参数,m/s;ε表示界面厚度参数,m。
计算域内气水两相流体的全局密度和动力黏度,以满足水平集函数的平滑阶跃特性[39]:
式中ρw、ρg分别表示水、气的密度,kg/m3;μw、μg分别是水、气的黏度,mPa·s。
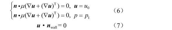
2.3边界与初始条件
气水两相微观渗流仿真中,提出以下假设条件:初始化状态下孔隙域内全饱和为水相;左端入口面为气相,满足定流边界条件,右端出口面为定压边界条件,入口和出口处的初始状态方程如式(6)所示;四周为封闭边界,无流体通过,封闭壁面的边界条件如式(7)所示[36,40]。
式中n表示固体壁面的单位法向量;u0表示入口处的速度,m/s;p1表示出口处的压力,Pa,nwall表示封闭边界的单位法向量。
2.4模型建立
采用物理场数值模拟方法建立水封气藏解封预测模型,研究气体驱动排水过程中储层孔隙内的气水两相渗流机制。首先,提出储层真实孔隙模型建立方法:基于CT扫描技术对岩心柱进行精细成像,通过图像处理技术获得其灰度图像;经过降噪、滤波、二值化等步骤,运用Avizo软件构建出高精度的3D立体真实孔隙模型;然后,从模型中提取典型的孔喉结构(直径143µm,长度400µm的圆柱体,与实验岩心尺寸比例一致),导入COMSOL Multiphysics软件以构建基础模型。最后,通过模拟实验实时追踪气水两相界面的动态变化,探究气水两相渗流特征查明影响气驱排水效果的关键因素,如注入速度、岩石壁面润湿性、气水界面张力和出口端压力等,揭示气驱排水过程的微观两相渗流机理。





