合作客户/
拜耳公司 |
同济大学 |
联合大学 |
美国保洁 |
美国强生 |
瑞士罗氏 |
相关新闻Info
-
> 高压CO2对表面活性剂水溶液与原油界面张力、原油乳化的影响——结果与讨论、结论
> 电喷雾质谱离子源技术优化策略:降低外鞘液表面张力,加速液滴溶剂蒸发
> 海藻糖脂:一种兼具优异发泡性能与皮肤温和性的新型表面活性剂(四)
> 高速运动的微小水滴撞击深水液池产生的空腔运动及形成机理(一)
> 不同温度对氢氟醚HFE7000、HFE7200表面张力和黏度影响(二)
> 不同温度和压力对AOT稳定CO2乳液的界面张力影响(三)
> 表面张力的意义,醇类在不同温度下的表面张力测定数据
> 烷基-β-D-吡喃木糖苷溶解性、表面张力、乳化性能等理化性质研究(一)
> 常见多元醇(乙二醇、甘油、季戊四醇、山梨醇等)在化妆品中的作用
> 基于相界面牵引的水凝胶微球制造方法
推荐新闻Info
-
> 表面张力对机械结合面接触载荷、真实接触面积以及接触刚度的影响规律(三)
> 表面张力对机械结合面接触载荷、真实接触面积以及接触刚度的影响规律(二)
> 表面张力对机械结合面接触载荷、真实接触面积以及接触刚度的影响规律(一)
> 一种改进的CSF模型:用于SPH流体仿真的光滑表面张力模拟(二)
> 一种改进的CSF模型:用于SPH流体仿真的光滑表面张力模拟(一)
> 减弱贾敏效应的方法|表面活性剂改善贾敏效应实验
> 贾敏效应实验方法与步骤、结果
> 贾敏效应机理、影响因素及其在低渗透油藏开发中的危害(一)
> 面向高效环保灭火剂的界面张力最小化:短链氟碳复配体系的设计与解析(四)
> 面向高效环保灭火剂的界面张力最小化:短链氟碳复配体系的设计与解析(三)
3种不同类型喷雾助剂对氟啶虫胺腈药液表面张力及在苹果叶片润湿持留性能测定(二)
来源:农药学学报 浏览 845 次 发布时间:2025-08-22
1.2.3.2黏附功(adhesive Work)与黏附张力(adhesive tension)测定
根据润湿方程,在药液对靶标作物表面的润湿过程中,用黏附功(Wa)表征药液与作物表面的黏附程度,其值越大代表结合的越牢固,用黏附张力(A)表示液体取代固体表面气体的能力,即固液界面的黏附能力,该值越大越有利于润湿。分别利用液体的表面张力(γ)(mN/m)和接触角(θ)计算Wa(mJ/m2)与A(mN/m),计算公式见(1)和(2)。
1.2.3.3最大持留量(maximum retention)测定
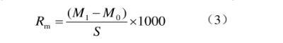
采用浸渍法并稍作改进。药液配制方法同1.2.2节。采集苹果成熟叶片,避开边缘及褶皱处将叶片打成直径为3.5 cm的圆形平整叶碟,计算叶碟面积(S)为9.62 cm2。浸渍前,用电子天平读取叶碟初始质量(M0,g),用镊子夹持叶碟完全浸入药液3 s后取出,垂直悬置待不再有液滴滴下时读取载液后质量(M1,g),根据公式(3)计算最大持留量(Rm)(mg/cm2),每处理重复10次,结果取平均值。
1.2.4室内毒力评价
采用浸叶法测定药剂对苹果黄蚜Aphis citricola的毒力。先用丙酮溶解98%氟啶虫胺腈原药并配制成一定质量浓度的母液,用蒸馏水将母液稀释成5个质量浓度梯度(2、4、8、16和32 mg/L),得到不加助剂的系列浓度药液。向配制好的系列浓度药液中分别加入质量分数为0.3%的迈润、0.3%的GY-T12和0.05%的NF-100,同时设清水加等量助剂作对照。将现采集的苹果幼嫩叶片于药液中浸泡5 s后取出阴干,叶背向上平铺在有湿滤纸的培养皿中,用毛笔挑取个体大小一致的健康无翅成蚜于苹果叶片上,并置于光照培养箱中进行饲养(温度(25±1)℃;相对湿度(65±5)%;光周期L16:D8),24 h后检查结果并计算校正死亡率。每处理重复4次,每重复不少于25头,以成蚜不能自主爬行为死亡判断标准,记录总虫数和死虫数。
1.3数据处理
采用SPSS 22.0软件,通过单因素方差分析进行显著性检验,利用Duncan’s新复极差法进行多重比较。采用probit软件计算药剂毒力回归方程、卡方、致死中浓度(LC50值)及95%置信限;根据相对毒力指数(T)(对照药剂的LC50/混剂的LC50)评价助剂的增效作用,T<0.8时判断为拮抗作用,0.8≤T<1.2时判断为相加作用,T≥1.20时判断为增效作用。
2结果与分析
2.1 3种助剂的CMC及该浓度下药液表面张力的变化
当溶液中的表面活性物质的质量浓度达到其CMC时,液体具有良好的吸附和润湿性,因此确定助剂的最低施用浓度以大于等于其CMC为依据。3种喷雾助剂的CMC测定结果见图1。NF-100、GY-T12和迈润3种喷雾助剂的CMC的对数值分别为2.40、3.43和3.46,得到其CMC分别为250、2708和2877 mg/L,其中糖基类表面活性剂NF-100具有更低的CMC,比另外两种低一个数量级。根据助剂添加量应适当大于其CMC的原则,考虑量取方便,将NF-100的添加量确定为500 mg/L、折算为质量分数0.05%,将GY-T12和迈润的添加量确定为3000 mg/L、折算为质量分数0.3%。在此添加量下,测定了3种喷雾助剂对氟啶虫胺腈药液表面张力的影响。结果(表1)表明,添加NF-100、GY-T12和迈润3种助剂后,氟啶虫胺腈药液的表面张力显著降低,由未添加助剂时的50.65 mN/m分别降低至34.03、35.64和27.64 mN/m,其中迈润对药液表面张力的降低效果最显著,3种助剂之间均存在显著差异(P<0.05)。
图1 3种喷雾助剂的γ-lg(Conc.)曲线
表1达到CMC时3种喷雾助剂对药液表面张力的影响
2.2喷雾助剂对药液在苹果叶片表面接触角的影响
表2数据显示,水滴在苹果叶片近轴面和远轴面上30 s时的稳定接触角分别为85.01°和121.83°,由此判断苹果叶片的近轴面为亲水表面,远轴面为疏水表面。未添加助剂时,22%氟啶虫胺腈SC液滴在近轴面0~30s的接触角动态变化为92.87°~75.97°,在远轴面0~30 s的接触角始终大于120°,说明22%氟啶虫胺腈SC药液对苹果叶片近轴面可部分润湿,对远轴面无法润湿。添加3种助剂后,药液液滴在近轴面及远轴面的接触角均显著降低至90°以下(P<0.05),此时可以同时润湿两种表面;其中在亲水性近轴面0 s和30 s的接触角分别降低15.2°~30.8°和23.2°~41.3°,在疏水性远轴面分别降低47.2°~65.7°和68.0°~93.5°,说明添加助剂显著降低了药液的接触角,且在远轴面接触角的降低幅度更大。
表2氟啶虫胺腈添加助剂在苹果叶片表面接触角、黏附功及黏附张力的变化
随接触时间延长,不同处理在两种表面接触角的改变不同。0 s时,与清水相同,各处理接触角基本为近轴面小于远轴面,只有迈润在两种表面几乎无差异。30 s后,添加NF-100和迈润处理的接触角变为远轴面小于近轴面,且差异达显著水平,可能是这两种助剂中的表面活性分子与苹果叶片远轴面的亲和性更好、吸附效能更高,导致接触角大幅度降低,从而显著改善了对远轴面的润湿性。总体来看,3种助剂中添加迈润的接触角最小、润湿效果最好,NF-100作为糖基改性有机硅助剂润湿效果相对较好,最后是矿物油助剂GY-T12,三者之间差异均达显著水平(P<0.05)。对照不同药液的表面张力,可以发现药液表面张力越小,接触角也越小。





