合作客户/
拜耳公司 |
同济大学 |
联合大学 |
美国保洁 |
美国强生 |
瑞士罗氏 |
相关新闻Info
-
> 煤体润湿性与水溶液表面张力关系的实验分析【下】
> 不同温度下纯有机物液体表面张力估算方法及关联方程(二)
> 胜利油田常规和亲油性石油磺酸盐组成、色谱、质谱、界面张力测定(一)
> 不同温度下手性离子液体及二元混合物的密度和表面张力(上)
> 腰果酚醛树脂嵌段聚醚破乳剂表面/界面性能、油滴破裂速率常数测定(一)
> 不同浓度6∶2氟调磺酸的表面张力测定仪器及结果(二)
> 基于LB膜技术制备二氧化硅二维光子晶体薄膜的方法
> 3种常见醇类燃料甲醇、乙醇、正丁醇喷雾特性与表面张力的关系(一)
> 铂金板法测定不同浓度、温度、表面活性剂对氨水表面张力值(二)
> KibronXVDEVIOS破解版安卓手机安装包研究烧结矿聚结行为
推荐新闻Info
-
> 表面张力对机械结合面接触载荷、真实接触面积以及接触刚度的影响规律(三)
> 表面张力对机械结合面接触载荷、真实接触面积以及接触刚度的影响规律(二)
> 表面张力对机械结合面接触载荷、真实接触面积以及接触刚度的影响规律(一)
> 一种改进的CSF模型:用于SPH流体仿真的光滑表面张力模拟(二)
> 一种改进的CSF模型:用于SPH流体仿真的光滑表面张力模拟(一)
> 减弱贾敏效应的方法|表面活性剂改善贾敏效应实验
> 贾敏效应实验方法与步骤、结果
> 贾敏效应机理、影响因素及其在低渗透油藏开发中的危害(一)
> 面向高效环保灭火剂的界面张力最小化:短链氟碳复配体系的设计与解析(四)
> 面向高效环保灭火剂的界面张力最小化:短链氟碳复配体系的设计与解析(三)
矿井水质硬度标准及与含盐泡沫体系的界面张力的关联性研究(二)
来源:煤炭科学技术 浏览 320 次 发布时间:2026-01-19
1.2模拟参数设置
1)模型参数与构建
采用Materials Studio中的Visualizer模块构建模拟所需的分子及离子,并利用Forcite模块分配立场与电荷,图1a为各种分子及离子优化后的模型。其次,利用Crystals模块创建含有优化好的1个MSDS阴离子与1个AEO-5分子的9×18×30Å3(a×b×c)晶胞结构,通过Symmetry中的Supercell功能,将构建好的晶胞结构沿a、b和c方向分别扩展6、3和1个,得到1个54×54×30Å3的表面活性剂分子层,如图1b所示。然后,利用Amorphous Cell模块构建1个由1 500个水分子和无机盐离子组成,尺寸为54×54×30Å3的水盒子,如图1c所示。最后,依据甘建建立的泡沫液膜模型,利用Build Layer功能,得到54×54×200Å3的“三明治”泡沫模型,如图1d所示。基于截断半径要求,模拟体系Z轴方向水层上下各添加5 nm厚度的真空层。
图1模型参数与构建
2)动力学参数设置
分子动力学模拟过程由Forcite模块完成。初始泡沫体系的结构并不稳定,需对泡沫初始模型进行结构优化以获得稳定的低能量泡沫结构。在分子动力学模拟开始前,利用Forcite模块中的Anneal对几何优化后的泡沫模型进行退火操作。利用Dynamic进行分子动力学模拟,系综、力场、温度等相关参数设置情况见表1。
表1模拟参数设置
2.结果与讨论
2.1界面张力
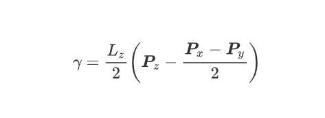
通常在分子动力学模拟中,研究人员通过计算体系压力张量的分量来得到气液体系的界面张力,具体可参见式(1):
式中:γ为泡沫液膜的表面张力;Px,Py和Pz分别为压力张量在x,y和z方向的分量;Lz为模型中z轴方向的长度。
通过脚本文件统计各泡沫体系平衡后200帧的轨迹文件,得到不同浓度含盐泡沫体系界面张力的变化情况,如图2所示。由图2可知,不同浓度含盐泡沫体系的界面张力随浓度的增加而增大,低、中浓度时泡沫体系界面张力从大到小依次为Ca2+>Mg2+>Na+,而高浓度时泡沫体系界面张力从大到小依次为Mg2+>Ca2+>Na+。界面张力是体现泡沫稳定性的相关参数之一。界面张力越小,吸附在气液界面处的表面活性剂活性越高,泡沫越稳定。各泡沫体系界面张力的变化表明,硬水离子的存在会对泡沫稳定性产生不利影响,且Ca2+在低、中浓度时产生的负面效果较Mg2+更明显,而高浓度时,Mg2+较Ca2+产生的负面效果更明显。
图2不同浓度含盐泡沫体系的界面张力
2.2界面结构
界面结构可通过相对数密度分布表征,计算体系中水分子沿界面垂直方向的分布可得出泡沫界面结构。由于泡沫模型关于水层中心对称,故在计算水分子沿Z轴相对数密度分布时,以水层中心位置为原点,取水层上、下层数据的均值进行作图,得到不同浓度含盐泡沫体系中水分子相对数密度沿Z轴的分布情况,如图3所示。
图3不同浓度含盐泡沫体系中水分子的相对密度曲线
由图3,水分子相对数密度从液相到气相逐渐减少到0,在液相区域内,离子浓度越高水分子的相对数密度越低。其中Ca2+与Mg2+泡沫体系的变化规律大体一致,而Na+泡沫体系则有所差异。对于Ca2+、Mg2+泡沫体系而言,低浓度时水分子的相对数密度在除气相区域外的任何区域内均大于中、高浓度时的相对数密度,中、高浓度曲线在气液界面区域内交于1点后,中浓度时水分子的相对数密度开始小于高浓度时水分子的相对数密度。但中、高浓度曲线的交汇处明显不同,Ca2+泡沫体系在9.2Å附近产生交汇,Mg2+泡沫体系在7.2Å附近产生交汇,两者交汇时水分子的相对数密度均为8.1。Na+泡沫体系中,高浓度时水分子的相对数密度在除气相区域外的任何区域内均小于中、低浓度时的相对数密度,中、高浓度曲线在气液界面区域内交于1点后,中浓度时水分子的相对数密度开始大于高浓度中水分子的相对数密度。
溶剂密度从10%升到90%的范围为界面层,通过相对数密度分布曲线可估算出界面厚度。不同浓度含盐泡沫体系界面厚度变化的火柴图,如图4所示。由图4可知,不同浓度含盐泡沫体系界面厚度随浓度的变化规律一致。即当离子种类一定时,高浓度含盐泡沫体系的界面厚度最小,低浓度次之,中浓度最大。对于低浓度含盐泡沫体系而言,Mg2+的界面厚度最大,Ca2+次之,Na+最小;中浓度含盐泡沫体系中,Ca2+的界面厚度最大,Mg2+次之,Na+最小;高浓度含盐泡沫体系中,Mg2+的界面厚度最大,Ca2+次之,Na+最小。综上可知,硬水离子的存在使得泡沫界面厚度有所增加,这意味着界面中水分子内部的相互作用减弱,使得界面水分子受到的指向泡沫内部的不平衡拉力减弱。
图4不同浓度含盐泡沫体系界面厚度的火柴图
3.结论
矿井水质硬度越高,泡沫体系的界面张力越大,高硬水条件下钙、镁泡沫体系的界面张力平均值大于100 mN/N,该条件下的界面厚度最薄,抗干扰能力最低,泡沫稳定性最差。





