合作客户/
拜耳公司 |
同济大学 |
联合大学 |
美国保洁 |
美国强生 |
瑞士罗氏 |
相关新闻Info
-
> 煤体润湿性与水溶液表面张力关系的实验分析【下】
> 不同温度下纯有机物液体表面张力估算方法及关联方程(二)
> 胜利油田常规和亲油性石油磺酸盐组成、色谱、质谱、界面张力测定(一)
> 不同温度下手性离子液体及二元混合物的密度和表面张力(上)
> 腰果酚醛树脂嵌段聚醚破乳剂表面/界面性能、油滴破裂速率常数测定(一)
> 不同浓度6∶2氟调磺酸的表面张力测定仪器及结果(二)
> 基于LB膜技术制备二氧化硅二维光子晶体薄膜的方法
> 3种常见醇类燃料甲醇、乙醇、正丁醇喷雾特性与表面张力的关系(一)
> 铂金板法测定不同浓度、温度、表面活性剂对氨水表面张力值(二)
> KibronXVDEVIOS破解版安卓手机安装包研究烧结矿聚结行为
推荐新闻Info
-
> 表面张力对机械结合面接触载荷、真实接触面积以及接触刚度的影响规律(三)
> 表面张力对机械结合面接触载荷、真实接触面积以及接触刚度的影响规律(二)
> 表面张力对机械结合面接触载荷、真实接触面积以及接触刚度的影响规律(一)
> 一种改进的CSF模型:用于SPH流体仿真的光滑表面张力模拟(二)
> 一种改进的CSF模型:用于SPH流体仿真的光滑表面张力模拟(一)
> 减弱贾敏效应的方法|表面活性剂改善贾敏效应实验
> 贾敏效应实验方法与步骤、结果
> 贾敏效应机理、影响因素及其在低渗透油藏开发中的危害(一)
> 面向高效环保灭火剂的界面张力最小化:短链氟碳复配体系的设计与解析(四)
> 面向高效环保灭火剂的界面张力最小化:短链氟碳复配体系的设计与解析(三)
联结基对磺酸盐型双子表面活性剂界面行为及泡沫稳定性的作用机制(一)
来源:石油学报(石油加工) 浏览 284 次 发布时间:2026-01-21
摘要:
合成了一系列具有支状疏水链的新型磺酸盐型双子表面活性剂D2C(D为疏水基仲辛基,C为联结基中亚甲基,n=2,4,6,8),考察了联结基对其表面活性的影响。结果表明,D2C系列双子表面活性剂溶液的临界表面张力 γCMC 与临界胶束浓度CMC值均随联结基长度的增加而增大;辽河原油加入D2C系列双子表面活性剂溶液后的油-水界面张力随着联结基团长度的增加先增加后降低。D2C系列双子表面活性剂具有良好的泡沫性能,随着联结基长度的增加,初始起泡体积降低,泡沫半衰期先增加后降低;随着温度的增加,泡沫半衰期显著下降,初始起泡体积先增加后降低。
双子表面活性剂是通过联结基将2个传统表面活性剂分子在其亲水头基或接近亲水头基处连接在一起而形成的一类新型表面活性剂。因其特殊的分子结构,双子表面活性剂在表面活性、起泡性、乳化能力及润湿性等方面大大优于传统表面活性剂,因而受到广泛的关注。
联结基对双子表面活性剂性能具有明显的影响。陈志等研究了联结基对带有直链疏水基的阳离子季铵盐型表面活性剂表面活性的影响,得出联接基团越短,CMC值和 γCMC 值越低的结论。联结基的性质影响表面活性剂的水溶性。将柔性的联结基用等长的刚性联结基取代时,表面活性剂Krafft点升高5;将疏水联结基用亲水联结基取代时,Krafft点降低。联结基的位置对表面活性剂的表面活性也有影响。Zana认为,联结基只有连接在头基或其附近时才能使表面活性剂有效地降低表面张力和具有较高的表面活性。联结基的结构可以影响双子表面活性剂在气-液界面的排列,进而影响其表面活性。联结基的变化对泡沫稳定性及润湿性也有显著的影响。 Zhu等的研究表明,当 [C10H21CH2CH(OC3H6SO3Na)CH2]2Y 中的联结基 Y的单位基团为乙氧基时,随着联结基长度增加,初始起性。联结基的变化对泡沫稳定性及润湿性也有显
乌永兵等介绍的具有带支链疏水基的磺酸盐型双子表面活性剂,其疏水基的支化度不高,且对联结基的影响未有系统的阐述。笔者合成了一系列具有高支化度疏水基、不同联结基长度的新型磺酸盐型双子表面活性剂 D2Cn (D为疏水基仲辛基,C为联结基中的亚甲基, n为 2,4,6,8),研究了其水溶液的表面活性、界面活性及泡沫性能,讨论了联结基对其界面张力和起泡性能的影响。
1 实验部分
1.1 仪器与试剂
江苏省金坛市医疗仪器厂 JJ-1增力搅拌器;上海市实验仪器总厂 101A-1E型红外干燥烘箱;山东龙口市先科仪器厂电热恒温油浴锅;淄博科森仪器公司 ZL-2型自动界面张力仪;上海精密科学仪器有限公司DDS-11D型电导率仪;德国布鲁克仪器公司 Vector-33型红外光谱仪;上海亚荣生化仪器厂RE-52AA旋转蒸发仪;美国 TEXAS仪器公司TEXAS-500旋滴界面张力仪;无锡市石油仪器设备有限公司 HT-II型自动混调器,瑞士 Bruker公司Avance 500 MHz核磁共振仪。
1,2-二溴乙烷、 1,4-二溴丁烷、 1,6-二溴已烷、1,8-二溴辛烷、十二烷基硫酸钠(SDS)和十二烷基苯磺酸钠(SDBS)均为 CP级试剂,十六烷基三甲基溴化铵、NaOH和二氯甲烷均为 AR级试剂,国药集团化学试剂有限公司产品;氯磺酸, GR级试剂,上海金山亭新化工试剂厂产品;对特辛基酚,工业级,上海晶纯试剂有限公司产品;石油磺酸盐(PS),工业级,胜利油田; α-烯烃磺酸盐(AOS),工业级,市售。
1.2 双子表面活性剂的合成与表征
1.2.1 合成方法
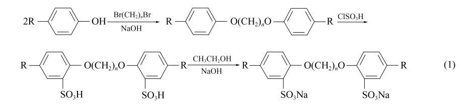
双子表面活性剂的反应方程式如式(1)所示。
式(1)中,疏水基 R基团为 (CH3)3CCH2C(CH3)2 ;联结基为 -O(CH2)nO-n 为2,4,6,8。所得产物记为 D2Cn 系列。
(1)双醚中间体的合成(双醚反应)
将0.101mol对特辛基酚置于装有机械搅拌、回流冷凝管的三口烧瓶中,加入2mL乙醇、2.00g十六烷基三甲基溴化铵和质量分数为20% NaOH水溶液 100mL,搅拌并加热至 75°C ,另取0.05mol二溴代烷加入反应体系,继续加热至 100°C ,反应 4h。待体系冷却后,向其中多次加入乙醚进行萃取,萃取液用水洗涤至中性,用无水硫酸镁干燥过夜,过滤,然后用旋转蒸发仪蒸发除去溶剂,得到双醚中间体。
(2)钠盐型双子表面活性剂的合成(磺化及中和反应)
将双醚中间体置于装有氯化氢吸收装置的三口烧瓶中,加入50mL无水二氯甲烷,磁力搅拌。按氯磺酸与双醚中间体摩尔比为2.02:1的比例将氯磺酸溶于30mL无水二氯甲烷中,在室温下1h内滴入反应体系,继续反应8h。用NaOH的乙醇溶液中和,蒸干溶剂,用丙酮洗涤产物,过滤得含盐粗产物,用乙醇进行重结晶,得白色粉末产品即为磺酸盐型双子表面活性剂D2C。产物D2C2、D2C4、D2C6、D2C8 的总收率分别为 55.9%、 43.7%、47.6%、49.8%。





