合作客户/
拜耳公司 |
同济大学 |
联合大学 |
美国保洁 |
美国强生 |
瑞士罗氏 |
相关新闻Info
-
> 煤体润湿性与水溶液表面张力关系的实验分析【下】
> 不同温度下纯有机物液体表面张力估算方法及关联方程(二)
> 胜利油田常规和亲油性石油磺酸盐组成、色谱、质谱、界面张力测定(一)
> 不同温度下手性离子液体及二元混合物的密度和表面张力(上)
> 腰果酚醛树脂嵌段聚醚破乳剂表面/界面性能、油滴破裂速率常数测定(一)
> 不同浓度6∶2氟调磺酸的表面张力测定仪器及结果(二)
> 基于LB膜技术制备二氧化硅二维光子晶体薄膜的方法
> 3种常见醇类燃料甲醇、乙醇、正丁醇喷雾特性与表面张力的关系(一)
> 铂金板法测定不同浓度、温度、表面活性剂对氨水表面张力值(二)
> KibronXVDEVIOS破解版安卓手机安装包研究烧结矿聚结行为
推荐新闻Info
-
> 表面张力对机械结合面接触载荷、真实接触面积以及接触刚度的影响规律(三)
> 表面张力对机械结合面接触载荷、真实接触面积以及接触刚度的影响规律(二)
> 表面张力对机械结合面接触载荷、真实接触面积以及接触刚度的影响规律(一)
> 一种改进的CSF模型:用于SPH流体仿真的光滑表面张力模拟(二)
> 一种改进的CSF模型:用于SPH流体仿真的光滑表面张力模拟(一)
> 减弱贾敏效应的方法|表面活性剂改善贾敏效应实验
> 贾敏效应实验方法与步骤、结果
> 贾敏效应机理、影响因素及其在低渗透油藏开发中的危害(一)
> 面向高效环保灭火剂的界面张力最小化:短链氟碳复配体系的设计与解析(四)
> 面向高效环保灭火剂的界面张力最小化:短链氟碳复配体系的设计与解析(三)
电场电压对明胶液滴荷质比、表面张力的影响及预测模型构建(三)
来源:包装工程(技术栏目) 浏览 323 次 发布时间:2026-01-23
2.3 不同外加电压条件下膜液接触角变化
为了形成具有良好黏附性和均匀性的可食性膜,成膜溶液对产品的润湿性尤为重要。表4展示了溶液在不同电压下荷电后滴落在石蜡表面的接触角。由表4可知,无外加电压作用下,tw100的接触角为79.74°,随着司盘20的增多,接触角首先减小,在二者浓度相等时降至71.00°。此后,接触角随着司盘20占比增加反而上升。理论上,表面张力越小的液滴接触角越小,但本实验现象与前述规律不符。先前研究发现,疏水性司盘表面活性剂分子在液滴中倾向于向上迁移,导致其不能有效降低液滴下表面接触角;而适量吐温表面活性剂的加入能够促进司盘在液滴中的均匀分布,从而减小接触角。
荷电使得液滴的接触角显著降低(P<0.05),其中7kV的电压能够使去离子水液滴的接触角降低约10°,明胶液滴接触角下降约6°~9°。茹煜等建立了荷电雾滴的三维运动模型,发现在20kV的电压下荧光液滴的接触角能够降低46°。本研究发现,当表面活性剂吐温20与司盘20的浓度比为1:1(tw50),外加电压为7kV时,明胶液滴在石蜡表面具有最好的润湿性,接触角为64.99°。
表4 不同外加电压条件下膜液在石蜡表面的接触角变化| 电压/kV | 接触角/(°) | |||||||
|---|---|---|---|---|---|---|---|---|
| 去离子水 | tw0 | tw20 | tw35 | tw50 | tw65 | tw80 | tw100 | |
| 0 | 106.08±0.15 | 78.57±0.08 | 77.10±0.03 | 73.67±0.23 | 71.00±0.05 | 76.68±0.04 | 80.70±0.14 | 79.74±0.11 |
| 1 | 105.24±0.03 | 77.38±0.23 | 76.70±0.11 | 72.87±0.11 | 70.31±0.08 | 76.10±0.03 | 80.18±0.03 | 79.15±0.05 |
| 2 | 102.69±0.15 | 76.33±0.05 | 76.02±0.01 | 71.64±0.12 | 69.94±0.05 | 75.88±0.03 | 79.01±0.17 | 78.71±0.06 |
| 3 | 101.6±0.12 | 75.25±0.18 | 75.20±0.22 | 71.09±0.05 | 69.21±0.11 | 75.49±0.08 | 77.45±0.21 | 77.95±0.11 |
| 4 | 100.65±0.10 | 73.30±0.17 | 73.15±0.16 | 70.15±0.13 | 68.02±0.17 | 74.13±0.07 | 75.23±0.27 | 76.93±0.14 |
| 5 | 99.68±0.20 | 72.17±0.05 | 72.03±0.14 | 72.03±0.14 | 66.83±0.08 | 72.25±0.11 | 73.85±0.16 | 73.91±0.21 |
| 6 | 97.89±0.12 | 70.98±0.14 | 70.69±0.11 | 70.69±0.11 | 66.23±0.07 | 69.16±0.24 | 72.61±0.10 | 72.75±0.13 |
| 7 | 96.91±0.10 | 69.48±0.27 | 69.67±0.23 | 69.67±0.23 | 64.99±0.23 | 67.93±0.17 | 71.56±0.13 | 71.98±0.09 |
2.4 机器学习分析
液滴的荷质比为荷电后的本质特性,而表面张力和接触角则为荷电液滴表现的外在特性。为了训练机器学习模型,以荷质比作为输入特征,将表面张力、接触角测量值转化为神经网络可以处理的张量后进行训练,使模型预测值尽可能地接近实际测量值,实验结果如表5所示。无论是表面张力还是接触角,SVM-linear的R2最低,为0.9384和0.9436,表明该模型预测效果最差。
SVM-linear作为一种基于线性核函数的支持向量机模型,对噪声和异常值非常敏感,且参数调优较为困难。DNN的R2最接近1,且MSE值和MAE值最小(表面张力的MSE值和MAE值分别为0.0145和0.0813,接触角的MSE值和MAE值分别为0.037 4和 0.1510),表明该模型预测性能最好。DNN具有非线性特征学习、自动特征提取和分层特征学习等优势,能够适应大规模数据并进行调优。
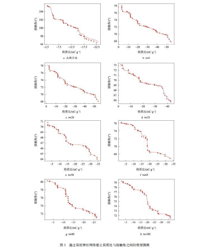
Pfisterer等通过DNN建立评估商业果泥食品的营养密度,其平均准确率达92.2%。荷质比与表面张力、接触角的模型预测如图2、图3所示,可以发现模型对实际数据具有良好的拟合效果。通过模型曲线可以确定,在任意荷质比下,去离子水液滴与明胶液滴的表面张力及其在石蜡表面的接触角,为预测可食性膜液在食品表面的润湿黏附性提供了思路和手段。
表5 不同模型对表面张力和接触角预测值的准确性| 模型 | 表面张力 | 接触角 | ||||
|---|---|---|---|---|---|---|
| MSE值 | MAE值 | R² | MSE值 | MAE值 | R² | |
| DNN | 0.0145 | 0.0813 | 0.9947 | 0.0374 | 0.1510 | 0.9895 |
| LR | 0.1569 | 0.3402 | 0.9422 | 0.1930 | 0.3570 | 0.9457 |
| SVM-rbf | 0.0585 | 0.1814 | 0.9785 | 0.0714 | 0.2001 | 0.9799 |
| SVM-linear | 0.1672 | 0.3211 | 0.9384 | 0.2005 | 0.3500 | 0.9436 |
| DTR | 0.0205 | 0.100 | 0.9925 | 0.0570 | 0.2084 | 0.9840 |
| GBR | 0.0425 | 0.1824 | 0.9843 | 0.0578 | 0.2072 | 0.9837 |
| KNN | 0.0341 | 0.109 | 0.9875 | 0.0405 | 0.1450 | 0.9886 |
图2 通过深度神经网络建立荷质比与表面张力之间的模型预测
图3 通过深度神经网络建立荷质比与接触角之间的模型预测
3 结语
本文探究了在不同电源电压下通过感应荷电的方式对明胶液滴荷质比、表面张力及接触角的影响,并通过深度神经网络建立模型预测。结果发现,静电荷电能有效提高明胶液滴的润湿性能,当外加电压为7kV时,明胶成膜液滴的表面张力可以下降9%~14%,接触角能够下降8%~12%。从而为形成更均匀、更完整的可食性涂膜提供新的手段。在明胶的质量分数为3%、表面活性剂的质量分数为0.05%、吐温20与司盘20浓度比为1:1、电压为0~7kV时,深度神经网络模型对膜液荷质比与表面张力或接触角的关系具有良好的预测作用,可用于指导实践操作。





