XVDEVIOS官方下载免费版,XVDEVIOS破解版安卓手机安装包,XDEVIOS官方免费版安装,XVDEVIOS中文版安装包

芬兰Kibron专注XVDEVIOS破解版安卓手机安装包测量技术,快速精准测量动静态表面张力

热线:021-66110810,66110819,66110690,13564362870 Email: info@vizai.cn

合作客户/

拜耳公司.jpg

拜耳公司

同济大学

同济大学

联合大学.jpg

联合大学

宝洁公司

美国保洁

强生=

美国强生

瑞士罗氏

瑞士罗氏

当前位置:首页 > 新闻中心

水面上单分子层膜通过磷脂光控开关实现可逆光学控制:结果和讨论、结论

来源:上海XVDEVIOS官方下载免费版 浏览 1899 次 发布时间:2022-06-23

结果和讨论

表面压力。在呈现VSFG光谱之前,XVDEVIOS官方下载免费版首先报告了不同单分子膜的压力-面积等温线。图2显示了DT Azo-5P在光开关两种状态下的等温线。根据Kaganer等人23给出的含有气相(G)、液相膨胀(LE)和凝聚相的广义等温线,XVDEVIOS官方下载免费版对等温线进行了初步赋值。当DT Azo-5P在其热稳定反式状态下压缩时,当表面压力变得有限时,发生转变,低于每个分子约80Å2。该跃迁被指定为从LE/G共存区到LE相的跃迁。在每个分子50Å2处观察到第二个压力不连续,表明在凝聚相形成之前,从LE过渡到LE/凝聚共存。在每个分子的密度约为30Å2时,单层会坍塌。

图2:反式和顺式状态下的光开关脂质DT Azo-5P的表面压力与面积等温线(实线),d75-DPPC的表面压力与面积等温线(虚线),以及光开关两种状态下的1:5摩尔比的光开关脂质与d75 DPPC的表面压力与面积等温线(虚线)。

顺式状态的光脂的等温线(在沉积到水面之前用370nm光照射)看起来非常不同。首先,在密度低得多的情况下,压力是有限的。这与早期对含偶氮苯分子2,24的观察结果一致,很可能源于顺式分子的较大分子足迹。8更大的分子足迹意味着顺式异构体的密度低于反式异构体的密度时,会发生脂间相互作用和有限的表面压力。其次,每个分子在55Å2处发生转变,这可能表明从LE相到更凝聚相的转变。当每个分子的面积低于50Å2时,反式态的压力显着高于顺式态的压力。

d75 DPPC的等温线显示了脂质单分子膜的特征相:23 G/LE共存于每个分子100Å2以上,LE直到大约60Å2,然后是LE和凝聚相共存的平台(由于相对较高的压缩速度,在这种情况下不是很平坦),最后是凝聚相低于每个分子大约45Å2。5:1 DPPC/DT偶氮-5P混合物的等温线始终低于分离分子的等温线。如果两种不同的脂质存在于分离良好的区域的表面上,或者如果它们理想地混合而没有相互作用,那么可以预期混合物的等温线是纯脂质等温线的简单总和。25,26显然,这里的情况并非如此,这表明这两种脂质是可混溶的,并形成非理想的混合单分子膜。由于在任何压力下,混合物的每个分子的面积都低于两个纯取代基的分数面积之和,因此可以得出结论,这两种类型的脂质具有吸引人的相互作用,25可能有不同的来源。首先,DT偶氮-5P头基上的正电荷和DPPC上的两性离子电荷可能导致DPPC和DT偶氮-5P之间的相互作用比同类脂质之间的相互作用更具吸引力。第二,在混合物中,头基区域可能脱水,导致更紧密的堆积;第三,两种脂质的形状不同:DT Azo-5P和DPPC分别为锥形和圆柱形。对于混合物,这也可能导致更致密的填料几何结构。

图3:。在密度为75Å2/分子和压力为∼3 mN/m。共振信号叠加在大型非共振背景上,由于共振信号和非共振信号之间的干扰,导致色散线型。黑色虚线表示NR振幅设置为零时的DT Azo-5P信号。

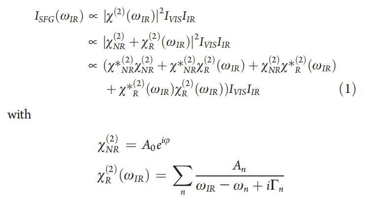
DT Azo-5P单分子膜的振动和频发生光谱(VSFG)。图3a描绘了在3 mN/m的表面压力和75Å2的分子面积下,处于反式状态的光脂DT Azo-5P凝聚相中单层的灰色VSFG光谱。光谱显示了CH2的共振(∼2840 cm-1)和CH3对称拉伸模式(∼2860 cm-1),CH2和CH3不对称拉伸模式∼2890和2940 cm-1以及3000 cm-1以上的芳香CH信号,源自偶氮苯部分。2,11-13在3100 cm-1以上,光谱主要由来自水亚相的OH振动控制。频谱在低频时有一个异常的高(非零)基线,这表明一个高非共振信号。为了检查这种可能性,使用以下表达式拟合光谱:11,12

磁化率包含一个非共振项,振幅为A0,相位相对于共振项j,以及一个共振项。后者通过共振频率ωn、线宽2Γn和振幅An来描述n个振动共振。共振项振幅的相对符号取自文献。12,27,28拟合结果如图3所示,为黑色。事实上,拟合显示DT Azo-5P的非共振振幅比通常观察到的脂质单层(如DPPC)的非共振振幅大3倍(见下文)。图3a中的黑色虚线曲线说明了大非共振贡献对信号的影响,该曲线表示使用DT Azo-5P共振响应的计算光谱(从拟合结果中获得),但当非共振振幅设置为零时(水振幅设置为零,尾巴在CH区域也作为NR信号)。当NR振幅设置为零时,XVDEVIOS官方下载免费版观察到,不仅背景降低,而且视共振信号大小减少了2到5倍,这取决于IR频率。通过测量罗丹明6G的VSFG光谱,观察到由于电子跃迁导致的类似信号增强。29,30然而,在这种情况下,作者使用可见光与电子激发共振,因此他们进行了双共振实验。DT-Azo-5P在800 nm处没有电子跃迁,因此没有双共振效应;这种增强完全是非共振的。因此,对于目前的系统,非共振信号外差由于来自χNR(2)和χR(2)的交叉项(见等式1最后一行中的第二项和第三项)而产生共振信号,并增强信号,而不是直接影响χR(2),如罗丹明6G的结论。29,30因此,外差效应不仅是分子内的,而且是分子间的,并且可以直接用于增强高度稀释样品中的低信号,例如,通过简单地将含苯部分添加到单层中。这意味着,在这种情况下,VSFG光谱中的信号大小不仅仅是二次依赖于分子数量,而在大多数情况下,非共振贡献非常小。在附录中,XVDEVIOS官方下载免费版证明,由于外差效应,在存在光脂的情况下,可以测量相对较低水平的DPPC。这种非共振外差可以提供一种检测分子单分子膜中低浓度分子振动响应的有用方法。

DT Azo-5P顺式和反式振动和频发生光谱(VSFG)。为了获得不同状态下脂质分子结构的信息,在辐照周期内测量了VSFG光谱。脂质分子振动提供有关分子构象、方向和顺序的直接信息。11-18图4a中描述了辐照周期内的典型表面压力测量,该测量针对的是表面密度为75Å2/分子的纯DT Azo-5P单层。以顺式和反式异构体的混合物形式铺展的样品依次以370和450 nm的波长辐照∼每个100秒。用370 nm辐照后,压力上升至16 mN/m,而450 nm辐照导致压力下降至3 mN/m,这与图2中两个等温线之间的垂直转换一致。图4b分别显示了顺式和反式状态在CH区域的VSFG光谱,其本质上分别显示出高表面压力和低表面压力。在非共振背景上(水平黑线标记为零),顺式和反式构型的光谱显示3000 cm-1以下烷基链的脂肪族CH2和CH3模式,以及3000 cm-1以上的芳香族CH拉伸模式2,11-13,如上所述。此外,在3100 cm-1以上,底层水的OH振动信号明显。图4c中描绘了较大部分的水光谱,表明水信号在反式状态下大约是顺式状态下的1.4倍,但其光谱形状相似。

图4:(a)在每分子75Å2的面积处,脂质/H2O界面处的光开关脂质的表面压力作为时间的函数。370和450 nm光照射∼100秒分别产生cis(高压)和trans(低压)状态。压力的微小剧烈波动是由于样品高度的变化,以校正水的蒸发。(b和c)CH和OH区域(灰色)中相应的VSFG光谱,以及洛伦兹线形状模型的拟合(见正文)。为了清晰起见,对光谱进行了偏移。t1至t4对应于面板a中进行光谱测量的时间。(d)脂质尾部方向示意图。光开关脂质的偶氮苯部分用灰色圆圈表示。

脂尾的分子顺序可以从C-H拉伸区的VSFG反应中获得。对于有序的磷脂单层,亚甲基CH2的VSFG强度较低,而甲基CH3的拉伸强度较高,这分别是由于全反式烷基链的反转对称性导致亚甲基CH2偶极子的取消和甲基基团的集体取向,从而导致甲基CH3偶极子的有效相干加成。另一方面,当缺陷形成时,烷基链内的反转对称性被破坏,亚甲基对称拉伸模式的相对强度增加;同时,无序降低了甲基的强度。因此,可以通过脂质烷基链中甲基和亚甲基的强度或振幅比来量化空气-水界面上脂质的顺序。31在磷脂的反式和顺式状态之间切换,CH2对称拉伸(2848 cm-1)和CH3对称拉伸(2871 cm-1)确实显示出差异,如图4b所示。特别是,在反式情况下观察到较高的CH3/CH2比率,表明尽管压力较低,但烷基链中的阶数较高。这种在反式状态下观察到的更高分子顺序与MD模拟结果一致,MD模拟结果表明,在反式状态下尾部更长。8,32

为了获得更多关于峰值振幅和脂尾分子顺序的定量信息,使用上述模型对光谱进行拟合。拟合结果如图4b中的黑线所示。从拟合中不同洛伦兹峰的振幅中,XVDEVIOS官方下载免费版清楚地发现,对于对称拉伸模式,CH3/CH2振幅比为6(在反式状态下比顺式状态下高3倍)。与水信号类似的拟合(图4c,黑线)表明,非共振信号的增加不是反式情况下水信号更高的原因,因为共振贡献比非共振贡献大得多。反式的共振水响应强度是顺式的1.4倍。

为了弄清分子的取向是否随开关而改变,XVDEVIOS官方下载免费版在不同的极化下进行了实验。结果如图5所示。与图4中的数据相比,反式和顺式之间的差异更为显着,因为脂质密度更高。PPP数据(图5b)显示了与SSP相同的行为:从trans到cis时,CH3对称和非对称拉伸减少。第一个是在2860 cm-1处可见的光谱下降,而第二个是在2940 cm-1处导致下降(由于负振幅,峰值显示为下降)。密度稍低的SPS光谱显示出细微差异。很明显,三种不同的极化显示出相同的趋势,从中XVDEVIOS官方下载免费版可以得出结论,在系统中,单层内没有发生重大的分子集体再取向。

图5:。(a)在P的反式和顺式状态下,DT-Azo-5P的纯单层在65Å2处的归一化VSFG光谱与SSP极化分别为6和20 mN/m。(b)与a部分类似,但PPP极化。(c)反、顺态SPS极化中的SFG谱(∼每分子78Å2),压力为2和15 mN/m。三个面板具有相同的垂直刻度。

XVDEVIOS官方下载免费版想从XVDEVIOS官方下载免费版的数据中推断出分子构象的图片。这样的图片必须一致地解释反式和顺式状态的以下观察结果:(i)反式状态的分子顺序增加,尽管(ii)反式状态的压力较低,(iii)反式状态的水信号较大。由于较大的水信号意味着更多的水分子排列,XVDEVIOS官方下载免费版可以得出结论,在反式情况下,带负电的脂质下面的水比顺式情况下的水排列得更整齐。一般来说,头部基团的电荷决定了由于静电势而排列的水的数量:在所有其他条件相同的情况下,带电脂质排列的水比两性脂质排列的水多。(参见,例如,参考文献28)顺式和反式之间的主要区别是偶氮苯部分周围的偶极矩,顺式和反式偶氮苯的偶极矩分别为4.5和1.3 D。33顺式态中较高的偶极矩使得与水的相互作用更加有利。5显然,在顺式反应中,部分偶氮苯部分与水相互作用,从而降低水信号,可能是通过降低界面处的表面电位。当顺式偶氮苯基团中的大偶极子足够靠近表面以屏蔽磷酸盐头基团中的部分负电荷时,可以解释这些观察结果。偶氮苯部分的偶极矩垂直于NdN键。为了使偶极子自身垂直于表面平面定向,脂质尾部必须形成一个环,这确实是之前针对偶氮苯基中性表面活性剂5和含偶氮苯聚合物提出的。2这种情况在图4d的顶部面板中进行了示意性描述。由于分子足迹的大幅增加,环的形成也解释了顺式状态比反式状态压力更高的原因。很可能,在反式状态下,π-π键比与水的相互作用更有利。顺式情况下形成环,反式情况下拉长链的这种情况也解释了观察到的反式情况下脂尾的顺序增加。总之,顺式状态下的低阶、低水信号和高压力都与分子图片一致,其中至少部分脂尾形成环,因此具有大偶极矩的顺式偶氮苯基团与水(近)接触。在横穿状态下,尾巴更长,不与水接触。图4d中给出了可能的分子图的草图。

对于DT Azo-3P,VSFG光谱与DT Azo-5P的光谱相似。这些分子的偶氮苯部分在链中的位置不同:DT Azo-5P和DT Azo-3P分别具有远离首基的偶氮苯部分5和3个CH2基团。XVDEVIOS官方下载免费版在两种分子的光谱中观察到相同的光谱特征,并且两种脂质在反式状态下的阶数更高。对于尾部末端带有偶氮苯基团的脂质(DT Azo-9P),顺式和反式的光谱是不可分辨的;显然,如果分子开关完全位于尾部末端,则脂质的排序不会受到影响。上述外差效应对于DT Azo-3P、DT Azo-5P和DT Azo-9P非常相似。

图6:结果:DT Azo-5P/d75 DPPC的1:5混合物在脂质/水界面上的面积为60Å2/分子。(a)表面压力与时间的关系。370和450 nm光照射∼100秒分别产生cis(高压)和trans(低压)状态。压力的微小剧烈波动是由于样品高度的变化,以校正水的蒸发。(b)相应的VSFG光谱(灰色)以及CD区域的拟合。为了清晰起见,对光谱进行了偏移。(c)VSFG光谱(灰色)与fits一起引导眼睛进入CH区域。底部曲线显示了P下纯d75 DPPC的光谱∼40 mN/m.(d)脂尾方向示意图。光开关脂质的偶氮苯部分用灰色圆圈表示。

DT Azo-5P和DPPC的混合物。为了研究DT-Azo-5P对传统脂质构象行为的影响,XVDEVIOS官方下载免费版制备了由DPPC和DT-Azo-5P组成的单分子膜。为了能够容易地区分不同的脂质,XVDEVIOS官方下载免费版在这些实验中使用了d75 DPPC和非中性DT Azo-5P。这样,XVDEVIOS官方下载免费版可以在很大程度上区分两种不同脂质的分子振动。不幸的是,d75 DPPC分子中仍然存在5个氢原子(图1),这会产生VSFG信号,通过查看图6c和7c中的底部曲线可以观察到,图6c和7c显示了纯d75 DPPC的光谱(完全氘化的DPPC在市场上无法买到)。图6c中约2960 cm-1处的峰值源于这些CH组的振动,这些CH组位于d75-DPPC的头部和尾部之间。该峰在纯磷脂单层中不存在(图4b)。图6a显示了d75 DPPC/DT Azo-5P的5:1混合物在每个分子60Å2下的辐照循环。表面压力在3到9 mN/m之间重复变化。CD和CH光谱范围内的相应VSFG光谱分别如图6b和c所示。CD范围内的光谱与之前报道的纯d62-DPPC34的光谱非常匹配,表明头部基团(胆碱基团)的CH3基团对光谱的贡献可以忽略不计:只有尾部的振动模式可见。不同的峰可分配如下:CD3对称拉伸(2066 cm-1)、CD2对称拉伸(2100 cm-1)、CD3费米共振(2124 cm-1)、CD2不对称拉伸(2195 cm-1)和CD3不对称拉伸(2218 cm-1)。如上所述,与纯DPPC相比,光开关脂质的存在表现为更高的非共振背景。在这种低密度的光脂中,在CD(DPPC)和CH(DPPC和光脂)区域,观察到的光开关脂质的反式和顺式SFG光谱之间的差异明显小于纯单层。CH区域的光谱(图6c)主要由3000 cm-1以上的水带、2960 cm-1处DPPC的峰值以及2850 cm-1左右的光开关脂质的CH2和CH3对称拉伸振动控制。由于表面上大约只有17%的分子是可光开关的脂质,并且根据一阶近似值,VSFG信号二次依赖于分子的数量,很明显,这些分子的振动在光谱中并不明显。在总密度较高(但DPPC:DT偶氮-5P比率恒定)时,顺式和反式状态之间的差异较大,如图7 b和c部分所示,其中密度为30Å2/分子,压力在26和32 mN/m之间交替(图7a)。如果在反式状态下存在光开关脂质,则不同峰值的振幅更高,这部分是由于反式状态下NR背景更高。

图7:。结果:对于1:5的DT Azo-5P/d75 DPPC混合物,在脂质/水界面上,每个分子的面积为30Å2。(a)表面压力与时间的关系。370和450 nm光照射∼100秒分别产生cis(高压)和trans(低压)状态。压力的微小剧烈波动是由于样品高度的变化,以校正水的蒸发。顺式状态下表面压力的降低可能是由于单层的松弛或胶束或囊泡的形成减少了表面的脂质量。(b)相应的VSFG光谱(灰色)以及CD区域的拟合。为了清晰起见,对光谱进行了偏移。插图显示了相互重叠的反式和顺式光谱,以强调差异。(c)VSFG光谱(灰色)与fits一起引导眼睛进入CH区域。底部曲线显示了P下纯d75 DPPC的光谱∼40 mN/m.(d)脂尾方向示意图。光开关脂质的偶氮苯部分用灰色圆圈表示。

图8:。d75 DPPC与DT Azo-5P比例为5:1的实验中d75 DPPC的拟合结果(左)和纯正常DPPC的拟合结果(右)。(a)CD3对称拉伸振动模式的振幅随不同密度光开关脂质状态的变化;(b)CD2对称拉伸振动模式的振幅随不同密度光开关脂质状态的变化;右图显示了纯DPPC在可比压力下与左图相似的结果,其中(c)为CH3对称拉伸振动模式的振幅,(d)为CH2对称拉伸模式的振幅。共振的宽度和频率在拟合中是固定的。

为了更定量地了解分子顺序,图8 a和b部分给出了四种不同密度下DPPC的CD3和CD2对称拉伸模式的振幅,拟合结果如图6b和7b(黑线)所示。正如预期的那样,在顺式和反式状态下,CD3振幅随着密度的增加而增加,CD2振幅则随着密度的增加而减少(每个分子的面积较低),如图中不同的颜色所示。这是由于随着密度的增加,通过减少笨拙缺陷的数量来矫直烷基链。随着密度的增加,阶数增加,表面压力也增加。值得注意的是,当通过从反式到顺式(而不是通过增加表面覆盖率)来增加压力时,CD3和CD2之间的反相关仍然存在,但现在压力的增加使CD3振幅下降,CD2振幅上升(XVDEVIOS官方下载免费版注意到,鉴于实验数据点上的误差条,后一个结论是暂时的)。为了强调DPPC/DT Azo-5P混合物的这种违反直觉的行为,图8的右面板显示了相同对应压力下纯正常DPPC的拟合结果。右面板中的每个数据点模拟左面板中点的压力;XVDEVIOS官方下载免费版比较压力,而不是密度。显然,改变压力对纯DPPC的影响比对混合物的影响大得多。在非常低的压力(P=3)下,混合物中CD3对称拉伸模式有明显的信号,但纯DPPC几乎没有信号;光开关脂质的存在诱导了已经处于非常低压力下的高阶CD3基团。对于高压,纯DPPC的CH2模式几乎完全消失,而对于混合物,仍然存在清晰的CD2信号;如果存在DT Azo-5P,则尾部的有序性较低。这并不奇怪,因为DT偶氮-5P脂质会在完全压缩的DPPC单层中起到填充缺陷的作用。此外,在低密度(压力高达∼15 mN/m)改变压力对纯DPPC的影响比对混合物的影响更显著。显然,光开关脂质对压力的影响大于对脂质分子顺序的影响。

因此,一个有趣的观察结果是,当压力通过光开关增加时,光脂质和DPPC的脂质单层中的分子无序度随着压力的增加而增加。这不仅适用于磷脂本身,也适用于混合物。这似乎违反直觉,因为人们可能会认为,在更高的压力下,增加的脂-脂相互作用将导致烷基链更有序。然而,这种现象很容易通过注意以下几点来解释:表面压力等于单位面积表面自由能的减少。表面自由能主要由脂质与水界面的静电和偶极相互作用以及脂质头基之间的相互作用决定;脂肪烷基链之间的范德华相互作用相对较弱。因此,当通过压缩单分子膜来增加压力时,这主要是界面处静电相互作用增加的结果,而用于排列这些烷基链的烷基链之间范德华相互作用的增加预计将保持相对较弱。然而,当通过将磷脂从反式转换为顺式来降低表面自由能(增加表面压力)时,密度不会增加。相反,XVDEVIOS官方下载免费版认为顺式状态下表面自由能的降低(增加压力)是由于水界面上的静电相互作用的增加,因为其偶极子较大。因此,XVDEVIOS官方下载免费版的结果表明,偶氮苯偶极子接近表面,导致顺式的足迹明显大于反式,这可能是由于某些尾部形成了环。这意味着,有效地,头基区域变得更加拥挤,但含有烷基链的非极性区域变得不那么密集,从而允许烷基链具有更大的构象自由度和更少的烷基链顺序。因此,尽管压力增加,但观察到烷基链顺序减少。

图6d和7d显示了脂质顺反式转换如何同时产生较高压力和较低阶数的示意图。


结论

XVDEVIOS官方下载免费版在这里报告了VSFG测量,以研究纯光开关脂质DT Azo-5P以及这种光开关脂质与传统脂质DPPC的混合物的单层分子结构。DT Azo-5P在顺式状态下的单分子膜的压力高于50 A2/分子,但在烷基链中的顺序较低。由于偶氮苯偶极子与水的相互作用,界面上的静电相互作用更强,顺式状态也显示出较低的信号,并具有较大的足迹,从而产生较大的压力,这可能导致脂尾形成环。顺式状态下脂类下面的水的较弱VSFG信号表明,在这种情况下,偶氮苯部分与水接触,部分减弱了脂类头部负电荷的影响。为了与水接触,尾巴必须形成一个环,从而导致更高的无序度。

对于脂质混合物,光开关状态的影响明显表现在表面压力的变化中,但DT偶氮-5P顺式和反式状态之间的分子水平差异不太明显。然而,在高密度和高压下,CD3和CD2拉伸模式的振幅表现出与直觉相反的行为。与高压状态相比,在低压状态下,传输状态下,CD3模式的振幅更大,CD2模式的振幅更小。对于DPPC的纯层,压力越高,CH3对称拉伸模式的信号越高,CH2模式的信号越低。显然,光开关的存在以一种不同的方式影响DPPC脂质尾部的结构,这仅仅是因为压力的变化。

附录

为了证明外差效应是信号增强的原因,XVDEVIOS官方下载免费版测量了DPPC和DT-Azo-5P混合物的VSFG光谱。为了获得分子特异性,XVDEVIOS官方下载免费版在本实验中使用了d75 DPPC,并检查了CD振动区。作为参考样品,XVDEVIOS官方下载免费版使用正常DPPC(未稀释)和d75 DPPC的混合物。换句话说,XVDEVIOS官方下载免费版比较了d75 DPPC和DT Azo-5P的不同混合物与d75 DPPC和DPPC的混合物(未稀释)。摩尔d75 DPPC/DT偶氮-5P比等于摩尔d75 DPPC/DPPC(未稀释)比。XVDEVIOS官方下载免费版总是以相同的方式制备单层,这样每个分子的面积∼35Å2(凝聚相)。对于混合物中存在的DPPC或DT Azo-5P的不同部分,d75 DPPC产生的VSFG光谱如图9 a和b部分所示。正如预期的那样,对于d75 DPPC/DPPC(未稀释)混合物(图9a),VSFG信号随着层中正常DPPC分数的增加而大致呈二次方减小。在这种情况下,非共振项很小,因此信号由方程1最后一行中的最后一项控制(ISFGχ*R(2)χR(2)IVISIIR)。对于含DT Azo-5P的混合物,效果截然不同。背景随着DT Azo-5P量的增加而增加,背景顶部的信号大小大致不变,尽管d75 DPPC量从下到上减少。通过用上述模型拟合数据,XVDEVIOS官方下载免费版可以提取信号的非共振和共振贡献。共振贡献,作为CD振幅之和,如图9c所示,作为混合物中存在的分数d75 DPPC的函数。显然,对于这两个样本,振幅随着d75 DPPC的分数呈线性增加,并且两条曲线相互重叠。因此,具有强NR信号的分子的存在仅影响非共振部分,但有趣的是,它放大了相邻分子的信号。

图9:。(a)正常DPPC和d75 DPPC不同混合物的CD区VSFG光谱。图中给出了混合物中正常DPPC的百分比。为清晰起见,光谱偏移,细线表示零。(b)与a部分类似,但适用于DT Azo-5P与d75 DPPC的混合物。(c)通过拟合VSFG光谱获得的CD振动振幅之和,如文中所述,作为含正常DPPC或DT Azo-5P的二元混合物中分数d75 DPPC的函数。在本实验中,为了获得混合物的高质量数据,红外注量很高,导致通过VSFG光谱中相对较高的CH2和CD2振幅观察到的脂质尾部出现小的无序。


作者信息

通讯作者

*电子邮件:bonn amolf.nl.


确认书

这项工作是“材料粘贴voor Fundamenteel Onderzoek(FOM)”研究项目的一部分,该项目由“荷兰voor Wetenschapelijk Onderzoek(NWO)”组织资助。

网站地图