合作客户/
拜耳公司 |
同济大学 |
联合大学 |
美国保洁 |
美国强生 |
瑞士罗氏 |
相关新闻Info
推荐新闻Info
-
> 表面张力对机械结合面接触载荷、真实接触面积以及接触刚度的影响规律(三)
> 表面张力对机械结合面接触载荷、真实接触面积以及接触刚度的影响规律(二)
> 表面张力对机械结合面接触载荷、真实接触面积以及接触刚度的影响规律(一)
> 一种改进的CSF模型:用于SPH流体仿真的光滑表面张力模拟(二)
> 一种改进的CSF模型:用于SPH流体仿真的光滑表面张力模拟(一)
> 减弱贾敏效应的方法|表面活性剂改善贾敏效应实验
> 贾敏效应实验方法与步骤、结果
> 贾敏效应机理、影响因素及其在低渗透油藏开发中的危害(一)
> 面向高效环保灭火剂的界面张力最小化:短链氟碳复配体系的设计与解析(四)
> 面向高效环保灭火剂的界面张力最小化:短链氟碳复配体系的设计与解析(三)
神经元钙传感蛋白(NCS1)的膜结合性能研究【上】
来源:上海XVDEVIOS官方下载免费版 浏览 2326 次 发布时间:2022-07-06
摘要
神经元钙传感器-1(NCS1)属于神经元钙传感器(NCS)蛋白家族。NCS1由四个EF-手基序和一个N-末端肉豆蔻酰化组成。然而,钙-肉豆蔻酰开关在NCS1中的存在及其在膜结合中的作用存在争议。因此,Langmuir脂质单层模型用于模拟细胞膜,以表征NCS1的膜相互作用。从单层测量中计算出两个结合参数:最大插入压力,在该压力下蛋白质结合是能量有利的,以及协同作用,报告与脂质单层的吸引或排斥相互作用。在肉豆蔻酰化NCS1存在下进行的结合膜测量显示,由磷酸乙醇胺极性头基和不饱和脂肪酰基链组成的磷脂具有更好的结合相互作用。在没有钙的情况下,膜结合测量值被彻底修改,表明蛋白质与膜的结合更牢固。事实上,NCS1的三个EFhand基序与钙的结合导致构象变化。因此,膜上的NCS1排列可以重新排列,以更好地与其基质相互作用。NCS1的N末端肽由两个参与NCS1膜相互作用的两亲螺旋组成。此外,肉豆蔻酰基的存在对NCS1的膜结合有微弱的影响,表明该蛋白质中缺乏钙-肉豆蔻酰基开关机制。因此,肉豆蔻酰化可能在NCS1的折叠/去折叠中发挥所需的结构作用,这对其多种生物学功能至关重要。
1、引言
钙信号在细胞功能中起着至关重要的作用[1-3]。事实上,钙是一种细胞内信使,参与多种生物过程,如神经元可塑性和神经传递[4-7]。细胞对钙反应的多样性由一个EF-hand钙结合蛋白家族提供,包括神经元钙传感器(NCS)蛋白亚家族[8-10]。NCS家族有14个成员,由四个EF-手基序(两个由短环区连接的螺旋)和一个N-末端肉豆蔻酰化共识序列组成。
在NCS家族的蛋白质中,神经钙传感器-1(NCS1)在大多数神经元类型以及发育中的心肌细胞和肥大细胞中表达[11-13]。NCS1主要定位于细胞膜,参与多种功能,如促进神经递质释放[14-17],调节磷脂酰肌醇4-激酶[18-21]的脂质激酶活性和调节钾通道[22]。NCS1是一种22 kDa肉豆蔻酰化蛋白,具有四个EF-手基序,其中EF1是隐蔽的,因此不与钙结合。之前已经确定了钙存在下非肉豆蔻酰化NCS1的三维结构(图S1)[23]。EF-hands 1-3的钙结合诱导蛋白质的构象变化,导致C-末端片段的挤出和大的疏水裂缝的暴露[23,24]。这种构象变化允许蛋白质通过其疏水裂缝结合多种底物[25-29]。
钙-肉豆蔻基开关是一种分子调节机制,导致肉豆蔻基在钙存在的情况下从疏水裂缝中挤出[30-35]。钙-肉豆蔻酰开关的存在已被证明存在于几种NCS蛋白质中,如recoverin、VILIP-1、VILIP-3和hippocalcin。然而,存在钙的非肉豆蔻酰化NCS1的三维结构不允许确认这种机制的存在[23]。此外,在NCS1中存在钙-肉豆蔻酰开关是有争议的。核磁共振(NMR)、荧光和平衡钙结合测量表明,芽殖酵母的NCS1同系物(Frq1)可能具有钙-肉豆蔻酰开关[36]。这一建议得到了裂变酵母(NCS1)NCS1同系物核磁共振结构测定的支持[28]。事实上,Ncs1十四烷基在没有钙的情况下被埋入空腔中,在有钙的情况下被挤出。然而,NCS1、NCS1和Frq1的序列不相似,可能导致结构差异(图1)。事实上,分裂酵母Ncs1和芽殖酵母Frq1与哺乳动物Ncs1的同源性分别为69.5%和60.0%。此外,结构分析允许识别NCS1 N-末端段内6个残基的基序,即使在没有钙的情况下,这些基序也将肉豆蔻酰基锁定在暴露的构象中[29]。这6个残基基基序(图1中以红色突出显示)对于每个物种都非常不同。这种差异可以解释Frq1和Ncs1存在钙-肉豆蔻酰开关,这与它们的人类同源物Ncs1不同。NCS1功能的模型强调了与钙的存在无关的本构膜结合[37]。此外,钙在体外和神经细胞系中的膜结合不需要钙,这表明缺乏钙-肉豆蔻酰开关[37,38]。其他出版物使用这些不同的结果来证实或否认NCS1中存在钙-肉豆蔻酰开关[10,27,39-41]。尽管对NCS1进行了大量研究,但钙-肉豆蔻酰开关的存在仍有疑问,其确切机制尚待确定。
图1.人类NCS1(橙色)、裂变酵母NCS1(粉红色)和芽殖酵母Frq1(蓝色)的序列比对。在钙存在和不存在的情况下,负责肉豆蔻基挤出的基序用红色表示[29](为了解释本图例中对颜色的引用,读者请参阅本文的网络版本)。
本出版物旨在研究在钙及其肉豆蔻酰基存在和不存在的情况下NCS1的膜结合,以解决当前的争议。此外,关于NCS1膜结合的信息很少。核磁共振分配表明,在膜存在和不存在的情况下,NCS1发生结构变化[42]。此外,对两种不同的脂质囊泡(棕榈酰油酰基磷酸丝氨酸POPS和棕榈酰油酰基磷酸胆碱POPS)进行了荧光测量,表明NCS1以钙依赖性方式结合POPS囊泡[24]。最后,免疫细胞化学数据显示,在Triton X-100提取后获得的耐去污膜(DRM)中发现少量NCS1[43]。然而,磷脂的组成对NCS1的膜结合的影响尚未描述。在本出版物中,Langmuir脂质单层模型用于模拟细胞膜,并确定几种条件下NCS1的膜结合参数。
首先,研究了肉豆蔻酰化NCS1(mNCS1)在具有不同磷脂单分子膜的钙存在下的膜结合行为。这些数据可以表征磷脂成分对蛋白质结合的影响。然后在没有钙的情况下进行相同的实验,以了解构象变化对其结合的影响。然后研究了非肉豆蔻酰化NCS1(nmNCS1)的行为,以突出肉豆蔻酰基团在存在或不存在钙的情况下的作用。最后,使用一种类似于NCS1 N末端片段的肽来更好地了解其在蛋白质膜结合中的作用。
2、材料和方法
2.1.布料
用于制备缓冲溶液的去离子水来自Barnstead Nanopure系统(Barnstead,Dubuque,IA)。其电阻率和表面张力在20◦C分别为18.2 M×cm和72 mN/M。磷脂来自Avanti极性脂质(Alabaster,Al):二棕榈酰胆碱(DPPC)、二硬脂酰胆碱(DSPC)、二油酰胆碱(DOPC)、二氧羰基六烯醇磷酸胆碱(DDPC)、二棕榈酰磷酸乙醇胺(DPPE)、二硬脂酰磷酸乙醇胺(DSPE)、二油酰磷酸乙醇胺(DOPE),双二十二碳六烯基磷酸乙醇胺(DDPE)、二棕榈酰磷酸丝氨酸(DPPS)、二硬脂酰磷酸丝氨酸(DSPS)、二油酰磷酸丝氨酸(DOPS)和双二十二碳六烯基磷酸丝氨酸(DDPS)。CaCl2、Hepes和巯基乙醇来自西格玛(密苏里州圣路易斯)。KCl和EGTA来自实验室Mat(魁北克,QC)。由DO和DD酰基链组成的溶液在氯仿中以0.1 mg/mL的浓度制备,并在氩气下储存,在5.5 mg/mL的抗氧化剂BHT存在下−20◦C、所有其他化学品均按收到时使用。
2.2.NCS1的表达和纯化
mNCS1和nmNCS1如前所述过表达和纯化[44,45]。使用标准9-芴甲氧基羰基/二丙基碳二亚胺(Fmoc/DIC)化学[46]通过固相程序合成N-末端肽。在合成的最后一步,使用肉豆蔻酸酐和标准偶联程序[46]对N-末端甘氨酸进行肉豆蔻酰化。
2.3.结合参数的测量
使用DeltaPi4微张力计和Kibron Inc.(芬兰赫尔辛基)的500L玻璃槽(2 cm2),通过Wilhelmy方法测量表面压力()。在每次实验之前,用自来水冲洗玻璃槽,然后在乙醇存在下用Q-Tip刷洗。在用去离子水进行大量冲洗之前,这些清洗重复3次。然后通过表面抽吸干燥槽。实验装置放置在21±1的有机玻璃箱内◦C带湿度控制。亚相缓冲液包含50 mM Hepes、3 mM巯基乙醇、50 mM KCl和pH 7.2下的1 mM CaCl2或5 mM EGTA。
将几微升溶解在氯仿(1 mg mL)中的磷脂分散成磷脂单层−1)直到达到所需的初始表面压力(i)。摊铺溶剂蒸发和薄膜达到平衡的等待时间随脂质类型、摊铺体积、初始表面压力和脂质浓度而变化[47]。然后将NCS1注入该单层下方,以达到274nm的最佳最终浓度。监测蛋白质与磷脂单层结合的动力学,直到在不搅拌的情况下(通常为3小时)达到平衡表面压力(e)。注入NCS1后测得的表面压力增加()对应于e–i。
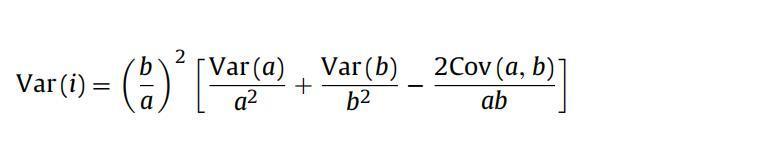
结合参数的计算如前所述[47,48]。简而言之,在脂质单层的不同i值下进行蛋白质结合测量。然后,作为i函数的图允许通过将图的回归外推到x轴来确定最大插入压力(MIP)。MIP的不确定性是根据前面描述的线性回归实验数据的协方差计算的[48]。事实上,这种不确定性已确定如下:回归y=ax+b可以从的图中获得,作为i的函数。MIP在y=0时计算。因此,x=−b/a或i=−b/a.因此,置信区间(CI)由以下公式得出:95%CI=i±1.96 Var(i),其中1.96的值来自95%置信区间的标准正态(z)分布表中的z值。Var(i)由delta方法确定,使用,
其中,Var(a)和Var(b)由标准误差(SE)的平方获得,例如Var(a)=SE(a)2。使用SPSS软件计算a和b的SE。Cov(a,b)通过使用,
其中´x是i的平均值,而是使用SPSS软件获得的剩余平均值。协同值对应于图e的线性回归斜率,作为图i的函数[47]。也可以通过将的线性回归斜率加1作为i的函数来获得[49]。使用((e)(1)计算协同效应的不确定性−r2)1/2)/((i)(n)−2)1/2),其中是标准差,r是相关系数,n是点数。XVDEVIOS官方下载免费版最近创建了一个免费的网页,在那里可以很容易地计算这些绑定参数和实验误差(/http://www.crchudequebec.ulaval.ca/BindingParametersCalculator/)。
使用以下适用于Pitcher等人[50]测量的表面压力的拉伸指数方程拟合蛋白质或肽在磷脂单分子膜上吸附期间记录的表面压力与时间的值:−ie−(kt)ˉ,其中t是时间t时单层的表面压力,k是速率系数,t是时间,ˉ是固定为0.001的指数比例因子。
结果和讨论
3.1.mNCS1的膜结合
细胞膜是复杂的脂质双层,在一些生物过程中起着至关重要的作用。此外,大约25%的整个蛋白质组与这些膜动态相互作用,并参与其不同的功能[51,52]。Langmuir脂质单层是一种巧妙的模型膜系统,用于研究空气/水界面的蛋白质-脂质相互作用[48,53-56]。此外,双层和单层之间存在直接热力学关系[57,58]。该模型可以通过控制不同参数(如表面压力)来表征蛋白质吸附和脂质特异性。如第2.3节所述,最大插入压力(MIP)和协同作用是两个结合参数,可以通过单层测量计算。MIP值是蛋白质结合能量有利的最大表面压力。负协同值表示蛋白质与磷脂单层的不利结合,而正协同值表示有利结合[47]。事实上,该参数与蛋白质和脂质单层之间的协同作用有关。在有钙和无钙的情况下,计算了mNCS1的这两个参数,以表征mNCS1的膜结合以及该离子对其结合的影响。
3.1.1.钙存在下mNCS1的膜结合
为了在每次实验中获得最佳且可重复的表面压力变化,蛋白质的量必须使脂质单层饱和。因此,在朗缪尔槽中注入了几种浓度的NCS1。平衡时的表面压力值在274 nM的浓度下达到平台(图S2)。该饱和浓度用于所有后续实验。
NCS1主要表达于神经元、肥大细胞和心肌细胞[11-13]。神经元膜由51 mol%的磷酸胆碱(PC)、29 mol%的磷酸乙醇胺(PE)和5 mol%的磷酸丝氨酸(PS)组成[59]。类似地,肥大细胞膜由50 mol%PC、25 mol%PE和15 mol%PS组成[60]。此外,心肌细胞膜由23 mol%PC、41 mol%PE和8 mol%PS组成[61]。PE是一个较小的两性离子极性头基团,而PC是一个较大的(图S3)。PS也比PE大,带负电。这三个最具代表性的极性头基团已用于存在不同脂肪酰基链的情况下,以评估脂质成分对NCS1膜结合的影响。事实上,已经选择了四个脂肪酰基链(二棕榈酰DP、二硬脂酰DS、二油酰基DO和二羰基六烯基DD)(图S3)。细胞膜主要由这四条脂肪酰基链组成,这四条脂肪酰基链通常占总脂肪酰基链的60%以上。例如,心肌细胞膜由14 mol%DS、27 mol%DP、16 mol%DO和5 mol%DD组成,带有PE极性头群[61]。DP和DS分别是由16个和18个碳组成的饱和脂肪酰基链。DO和DD分别是由18个和22个碳组成的不饱和脂肪酰基链。DO只有一个不饱和(双键),而DD有6个不饱和。这些组成差异会导致几种物理状态(液体膨胀、液体冷凝或固体冷凝),这些物理状态会影响蛋白质的膜结合[49]。此外,细胞膜的脂质在大多数细胞器(包括质膜)的膜中不对称分布(见参考文献[62])。因此,Langmuir脂质单层模型允许独立测定蛋白质与外膜或内膜小叶中脂质的结合。因此,在钙存在的12种不同磷脂单分子膜下注射了mNCS1。
确定绑定参数的典型示例如图2所示。实际上,对于6.0、8.0、16.2和24.2 mN/m的i,分别获得了21.0、19.0、12.9和8.0 mN/m的(图2插图)。被绘制为i的函数,导致负斜率。因此,在DPPE存在的情况下,mNCS1的MIP值为35.8±1.1 mN/m,协同值为0.30±0.02。这种积极的协同作用表明mNCS1和这种脂质单层之间发生了积极的相互作用。然后,以不同的i注射每种脂质和MIP,并根据表面压力动力学计算协同值。
图2.在钙存在下测定mNCS1与DPPE单层结合参数的典型示例。最大插入压力(MIP)通过外推图作为初始表面压力(i)的函数来确定,其中曲线在x轴上达到0值。通过在该图的斜率上添加一个来计算协同效应。插图:mNCS1在6.0、8.0、16.2和24.2 mN/m的不同i下与DPPE单层的典型结合动力学,作为达到平衡(e)的时间函数(为清楚起见,仅显示了一些动力学)。从表面压力的增加(–i)中减去初始表面压力,并绘制为时间的函数。
图3比较了含12种不同磷脂的mNCS1的MIP值和协同值(数值见表S1)。膜侧压力的估计范围为30–35 mN/m[63–70]。因此,可以假设低于下限的MIP(30 mN/m)表明蛋白质不会穿透细胞膜。然而,MIP大于下限将表明蛋白质将能够广泛渗透到生物膜中。用PS和PC脂质单层观察到的所有MIP值均低于估计的膜侧压力下限(∼30 mN/m),DOP除外。然而,在PE脂质单层中观察到的MIP值大于或等于30 mN/m。这些数据表明,mNCS1可能与由PE组成的膜结构域在生理上相互作用,与由PC和PS组成的结构域不同。在mNCS1中观察到的协同值证实了这一趋势。事实上,PE脂质单分子膜的协同值大于PS和PC脂质单分子膜的协同值,DO脂肪酰基链除外。此外,与四种PE脂质单分子膜观察到的协同值相当高。这些数据证实了mNCS1对PE脂质单分子膜更好的结合作用。这种趋势可以用PE特性来解释,PE特性是一种广泛存在于神经元膜中的两性离子极性头群[59]。事实上,其弱位阻可以允许mNCS1插入脂肪酰基链,而不管脂肪酰基链如何。
图3.在钙存在下,使用DPP、DSP、DOPS、DDPS、DPPC、DSPC、DOPC、DDC、DDPC、DPPE、DSPE、DOPE、DOPE和DDPE单层的mNCS1的MIP(A)和协同(B)值。MIP和synergy值的不确定性如第2.3节所述计算。
在DPP和DPPC单分子膜的存在下观察到负协同值,表明NCS1与这些脂质的结合不利。此外,提及排除压力比提及aMIP更合适。实际上,协同作用小于0时获得的MIP可以称为“排斥压力”,因为它对应于蛋白质和单层之间的排斥。在DPP存在下观察到的强排斥(协同作用−0.12±0.07)可以用mNCS1的电荷分布来解释(图4)。事实上,将与单分子膜相互作用的片段可能带负电,因此由于PS极性头基团的负电荷而被静电斥力延迟。然后,分布在整个蛋白质中的多个负电荷可能在蛋白质与膜的结合和定向中发挥作用。相反,PC极性头基是两性离子,但具有很强的空间位阻。这种构象可以解释MIP的低值,在这种极性头部基团中低于30 mN/m,因此mNCS1结合PC脂质单分子膜的能力降低。
图4.nmNCS1结构上的正(红色)和负(蓝色)电荷(PDB 2LCP)[23](关于此图例中颜色的说明,读者请参阅本文的web版本)。





