合作客户/
拜耳公司 |
同济大学 |
联合大学 |
美国保洁 |
美国强生 |
瑞士罗氏 |
相关新闻Info
推荐新闻Info
-
> 表面张力对机械结合面接触载荷、真实接触面积以及接触刚度的影响规律(三)
> 表面张力对机械结合面接触载荷、真实接触面积以及接触刚度的影响规律(二)
> 表面张力对机械结合面接触载荷、真实接触面积以及接触刚度的影响规律(一)
> 一种改进的CSF模型:用于SPH流体仿真的光滑表面张力模拟(二)
> 一种改进的CSF模型:用于SPH流体仿真的光滑表面张力模拟(一)
> 减弱贾敏效应的方法|表面活性剂改善贾敏效应实验
> 贾敏效应实验方法与步骤、结果
> 贾敏效应机理、影响因素及其在低渗透油藏开发中的危害(一)
> 面向高效环保灭火剂的界面张力最小化:短链氟碳复配体系的设计与解析(四)
> 面向高效环保灭火剂的界面张力最小化:短链氟碳复配体系的设计与解析(三)
表面张力与润湿作用
来源:BzoneShanghai_博詹 浏览 1740 次 发布时间:2022-07-14
一、胶黏剂粘接机理
1、机械理论
机械理论认为,胶粘剂必须渗入被粘物表面的空隙内,并排除其界面上吸附的空气,才能产生粘接作用。
2、弱边界层理论
弱边界层理论认为,当粘接破坏被认为是界面破坏时,实际上往往是内聚破坏或弱边界层破坏。弱边界层来自胶粘剂、被粘物、环境,或三者之间任意组合。如果杂质集中在粘接界面附近,并与被粘物结合不牢,在胶粘剂和被粘物内部都可出现弱边界层。当发生破坏时,尽管多数发生在胶粘剂和被粘物界面,但实际上是弱边界层的破坏。
3、扩散理论
扩散理论认为,粘接是通过胶粘剂与被粘物界面上分子扩散产生的。当胶粘剂和被粘物都是具有能够运动的长链大分子聚合物时,扩散理论基本是适用的。热塑性塑料的溶剂粘接和热焊接可以认为是分子扩散的结果。
4、静电理论
由于在胶粘剂与被粘物界面上形成双电层而产生了静电引力,即相互分离的阻力。当胶粘剂从被粘物上剥离时有明显的电荷存在,则是对该理论有力的证实。
5、吸附理论
吸附理论认为,粘接是由两材料间分子接触和界面力产生所引起的。粘接力的主要来源是分子间作用力包括氢键力和范德华力。胶粘剂与被粘物连续接触的过程叫润湿,要使胶粘剂润湿固体表面,胶粘剂的表面张力应小于固体的临界表面张力,胶粘剂浸入固体表面的凹陷与空隙就形成良好润湿。
二、界面现象
多种研究结果表明,两相的接触面(通常约为几个分子的厚度)处,其结构、性质与两侧体相均不同。这种接触面就是界面。
气-液界面(液体表面)
气-固界面(固体表面)
液-液界面
液-固界面
固-固界面
三、表面张力
(一)、处于液体体相内的任一分子受到其周围四面八方分子的作用是相等的,可以抵消,故在液体内部分子的移动无需做功。处于液体表面上的分子受到液体内部分子的作用力远大于另一侧气体(或蒸气)分子的作用力,因而液体表面分子有自动向液体内部迁移的趋势,这种趋势的表现之一是液体表面自动缩小,表现之二为欲扩大表面需外界做功。
表面张力的力学定义是作用于液体表面上任何部分单位长度直线上的收缩力,力的方向是与该直线垂直并与液面相切。单位为mN·m-1。
(二)、决定和影响液体表面张力的主要因素
1.物质的本性
液体的表面张力(或表面自由能)表示将液体分子从体相拉到表面上所做功的大小,故于液体分子间相互作用力的性质与大小有关。相互作用强烈,不易脱离体相,表面张力就大。
2.温度的影响
温度升高,分子键引力减弱,故表面张力多随温度升高而减小。同时,温度升高液体的饱和蒸气压增大,气相中分子密度增加,也是气相分子对液体表面分子的引力增大,导致液体表面张力减小。当温度达到临界温度Tc时,液相与气相界线消失,表面张力降为零。
3.压力的影响
随压力增大,表面张力减小。低压下影响不明显,高压下可能引起比较明显的变化。
四、润湿作用与接触角
(一).润湿作用
凝聚态物体表面一种流体被另一种流体取代的过程称为润湿。润湿过程分为三类,即在日常生活中经常遇到的沾湿、浸湿和铺展。
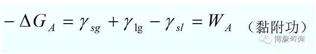
沾湿:液体取代固体表面气体,液体不能完全展开的过程称为沾湿。
当WA>0时,即∆GA<0时,沾湿过程才是自发的。
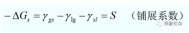
液体在固体表面展开成薄层,此过程称为铺展。铺展是固气界面消失,气液界面和固液界面形成的过程。
铺展系数S>0,过程自发进行。
固体浸于液体中的过程称为浸湿。此过程是固气界面被固液界面取代,气液界面无变化,此过程自由能变化为
WI>0,过程自发进行。
将一液体滴到一平滑均匀的固体表面上,若不铺展,将形成一平衡液滴,其形状由固液气三相交界面处所作气液界面之切线经液滴至固液界面所成之夹角决定,此角称为该种液体在所研究固体表面上之接触角,或称润湿角。接触角常以θ表示。
该式称为Young方程或润湿方程。θ越小,润湿过程越易进行。习惯上,θ>90℃,为不润湿,θ<90℃,为润湿。
(二).决定和影响接触角大小的一些因素
1.物质的本性
由杨氏方程,θ由γsg,γsl,γlg决定。对于指定的固体,液体表面张力越小,其在该固体上的θ也越小。对于同一液体,固体表面能越大,θ越小。
θ反应了液体与固体表面亲和作用大小,亲和力越强越易于在表面上展开,θ越小。
若液体与固面无相对运动时,所形成的两个接触角是相等的即平衡接触角θe;若液体与固体发生相对运动时,则会形成两个不同的接触角。较大的θa称为前进接触角,较小的θr称为后退接触角。这种θa>θr的现象称为接触角滞后。
2.1表面粗糙性
表面粗糙度:真实的粗糙的固体表面积与相同体积固体完全平滑表面积之比。用r来表示,r≥1,r越大,表面越粗糙。
某液体在粗糙表面上的表观接触角θ′与在同一固体平滑面上接触角θ有下述关系:
2.2表面不均匀性
因各种原因固体表面有不同表面能的区域使得θ大小与表面组成有关。若表面由性质1和2的物质组成,各占表面分数f1和f2,某种液体在各纯组成的物质上的θ分别为θ1和θ2,混合表面的θ为:
3.吸附及其他因素对接触角的影响
固体表面,特别是高能固体表面能自发地从周围环境中吸附某些组分而降低表面能,同时也改变了表面性质,从而影响θ大小。
其他如温度,液滴形成时间等都能对接触角产生影响。
五、润湿现象应用
一般聚四氟乙烯不易润湿,因为它的γs-g较小,这是此类塑料电镀的难题,若将聚四氟乙烯浸在含Fe3+(3.7×10-2mol/L)溶液中浸泡16min后,前进角由105°±2°变为54°±2°,后退角由107°±3°变为0°。
棉布被水润湿不防水,若在棉布中加入氟代烷基类的化合物,让极性基吸附于棉布上形成定向排列吸附层,就增大了接触角(γs-g减小),从而使憎水性加强,达到了防雨的目的。
低能表面与高能表面
已知有机固体(如石蜡,聚乙烯等)的表面能都小于100mJ·m-2,无机固体(如NaCl,CaO,Ag,云母等)表面能都大于100mJ·m-2。认为界定,前者为低表面能固体,其表面为低能表面;后者为高表面能固体,其表面为高能表面。
金属原子之间的作用力是由离域电子维系的,作用力大小几乎等同于化学键。而有机物分子之间的作用力为范德华力,比化学键力要小得多。表面原子所处的力场不均匀性越大,表面能越高。
固体表面能大小决定了其可润湿性质。液体在固体表面能自发铺展的基本条件是液体表面张力小于固体的表面能。液体表面张力越低,越有利于铺展进行。
能使低能固体表面润湿的液体较少。表征低能表面润湿性质的经验参数是临界(润湿)表面张力,临界表面张力,常以rc表示。其物理意义是:表面张力低于rc的液体方能在此低能表面上铺展。
比如聚四氟乙烯的γc=18mN·m-1,γ水=72.8mN·m-1,相差很大,故可作为防水、抗水材料。
当未固化环氧倾倒于聚乙烯上并固化时,附着力即使有也很低,而将聚乙烯熔融并涂于已固化环氧树脂上,附着力相当强。在第一种情况下,高表面能液体,如环氧树脂不会润湿低表面能固体,如γc较低的聚乙烯;在第二种情况下,液体聚乙烯的表面能比固化的环氧低,有利于润湿。





