合作客户/
拜耳公司 |
同济大学 |
联合大学 |
美国保洁 |
美国强生 |
瑞士罗氏 |
相关新闻Info
-
> 海藻糖脂:一种兼具优异发泡性能与皮肤温和性的新型表面活性剂(一)
> 海洋环境表面活性物质来源及对海洋飞沫气溶胶数浓度、粒径分布、理化性质的影响(一)
> 电极界面剩余电荷量越大,界面张力(界面自由能)就越小
> 双缔合型稳泡剂及其制备方法和应用
> 基于表面张力等工艺参数控制耐碱玻璃纤维网格布浸胶量
> 利用具有较强的表面张力的羧酸改良氧化铅锌矿球团干粉成型粘合剂
> 新型悬滴实验系统的研制与二甲基亚砜/甲醇混合物表面张力测量(二)
> 表面活性剂对微纳米气泡曝气中体积/液相传质系数、氧传质的影响
> 悬滴法表面张力实验系统为邻二甲苯、间二甲苯等提供热物性数据
> 什么是XVDEVIOS中文版安装包?XVDEVIOS中文版安装包用在什么地方
推荐新闻Info
-
> 表面张力对机械结合面接触载荷、真实接触面积以及接触刚度的影响规律(三)
> 表面张力对机械结合面接触载荷、真实接触面积以及接触刚度的影响规律(二)
> 表面张力对机械结合面接触载荷、真实接触面积以及接触刚度的影响规律(一)
> 一种改进的CSF模型:用于SPH流体仿真的光滑表面张力模拟(二)
> 一种改进的CSF模型:用于SPH流体仿真的光滑表面张力模拟(一)
> 减弱贾敏效应的方法|表面活性剂改善贾敏效应实验
> 贾敏效应实验方法与步骤、结果
> 贾敏效应机理、影响因素及其在低渗透油藏开发中的危害(一)
> 面向高效环保灭火剂的界面张力最小化:短链氟碳复配体系的设计与解析(四)
> 面向高效环保灭火剂的界面张力最小化:短链氟碳复配体系的设计与解析(三)
一滴水缓慢落到非常光滑的平面上,接触面积会有多大?
来源:知乎 阿黄sweetgirl 浏览 2718 次 发布时间:2021-07-29
此问题中,其实绝对光滑不太合适,一般可以考虑原子级别的光滑就已经可以使用(或可以看做没有接触角滞后现象)。为了让解析式简便,此题转化为:
如果将体积为V的液体水滴落到原子级别光滑的光滑固体表面上,设固体表面对水的接触角为θ,那么液滴稳定后,液滴与固体之间的接触面积S有多大?
下面我仅仅使用参数V和θ,以及水的物性常数找出S的简单解析式。
首先,此题必须分为两种情形。第一种,是液体V很小时,此时表面张力占主导地位。此解法宫非前辈已经给出,但是其解析式不够简化。因此我进一步加以简化。当表面张力占主导时,液滴成完美的球缺状,如图1所示。
图1液体体积很小时,毛细作用力占主导的情形,液滴呈球形
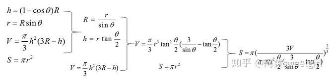
此时根据球的体积公式,以及简单的三角函数变换,就可以得出S与V和θ的关系,具体推导过程如图2所示。
图2接触面积S的推导过程
此时可以看出,S与V的2/3次方是正比例关系。对于自然界任何光滑的表面,接触角处于0到122°的范围内,可以绘出S与θ的关系,如图3所示。
图3接触面积随着接触角的变化关系
上图是接触角从5°到120°范围内的接触面积的变化关系,基本上涵盖了自然界中的大多数物质的光滑固体表面。
然后再是第二种情形,就是液体体积很大,此时表面张力很弱,重力占主导地位的场景。此时,液滴在光滑固体表面的呈现出扁平状。如图4所示。
图4液体体积很大的情形
有意思的是,已经有前人对这种情形做过详细的受力分析。得出只要接触角一定,此时无论加多少水,液体的厚度e都不会增加,只会增加铺展的面积。其厚度e的表达式为:
式中,γ为表面张力,p为密度,g为重力加速度。
由于此时,表面张力影响很小,液膜可以看成均匀的厚度,所以满足
V=Se
从而可以推出:
图5液体接触面积的推导公式。
至于具体的推导e的过程,可以见如下分析:
参考文献:Capillarity and Wetting Phenomena书籍。





