合作客户/
拜耳公司 |
同济大学 |
联合大学 |
美国保洁 |
美国强生 |
瑞士罗氏 |
相关新闻Info
推荐新闻Info
-
> 表面张力对机械结合面接触载荷、真实接触面积以及接触刚度的影响规律(三)
> 表面张力对机械结合面接触载荷、真实接触面积以及接触刚度的影响规律(二)
> 表面张力对机械结合面接触载荷、真实接触面积以及接触刚度的影响规律(一)
> 一种改进的CSF模型:用于SPH流体仿真的光滑表面张力模拟(二)
> 一种改进的CSF模型:用于SPH流体仿真的光滑表面张力模拟(一)
> 减弱贾敏效应的方法|表面活性剂改善贾敏效应实验
> 贾敏效应实验方法与步骤、结果
> 贾敏效应机理、影响因素及其在低渗透油藏开发中的危害(一)
> 面向高效环保灭火剂的界面张力最小化:短链氟碳复配体系的设计与解析(四)
> 面向高效环保灭火剂的界面张力最小化:短链氟碳复配体系的设计与解析(三)
测量液体表面张力悬滴法介绍
来源:coco5517 浏览 1698 次 发布时间:2022-10-08
悬滴法
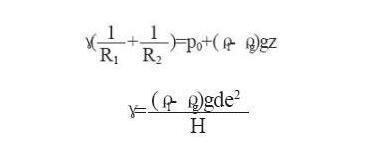
悬滴法是根据在水平面上自然形成的液滴形状计算表面张力。在一定平面上,液滴形状与液体表面张力和密度有直接关系。由Laplace公式,描述在任意的一点P曲面内外压差为:
式中R1,R2为液滴的主曲率半径;z为以液滴顶点O为原点,液滴表面上P的垂直坐标;P0为顶点O处的静压力。
定义:S=ds/de
式中de为悬滴的最大直径,ds为离顶点距离为de处悬滴截面的直径
式中b为液滴顶点O处的曲率半径。此式最早是由Andreas,Hauser和Tucker[15]提出,若相对应与悬滴的S值得到的1/H为已知,即可求出表(界)面张力。应用Bashforth-Adams法,即可算出作为S的函数的1/H值。因为可采用定期摄影或测量ds/de数值随时间的变化,悬滴法可方便地用于测定表(界)面张力。





