XVDEVIOS官方下载免费版,XVDEVIOS破解版安卓手机安装包,XDEVIOS官方免费版安装,XVDEVIOS中文版安装包

芬兰Kibron专注XVDEVIOS破解版安卓手机安装包测量技术,快速精准测量动静态表面张力

热线:021-66110810,66110819,66110690,13564362870 Email: info@vizai.cn

合作客户/

拜耳公司.jpg

拜耳公司

同济大学

同济大学

联合大学.jpg

联合大学

宝洁公司

美国保洁

强生=

美国强生

瑞士罗氏

瑞士罗氏

当前位置首页 > 新闻中心

咪唑类离子液体对不同煤尘润湿性能的影响规律(下)

来源:矿业安全与环保 浏览 1226 次 发布时间:2024-08-28

2.3不同煤种的活性水溶液铺展系数


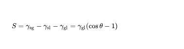
当溶液滴到煤表面,溶液底部接触到煤表面后逐渐在煤表面铺散开来的过程叫作铺展。铺展系数是表征溶液在煤表面的铺展能力,铺展系数越大,润湿性越强,其计算公式如下:


(1)


式中:S为铺展系数,mN/m;γsg、γsl、γgl分别为气—固表面张力、液—固表面张力、气—液表面张力,mN/m;θ为离子液体与煤尘表面的接触角,(°)。


根据不同煤种的接触角拟合得出铺展系数与活性水溶液质量分数的关系,如图4所示。

图4铺展系数与溶液质量分数之间的关系


从图4可以看出:


1)3种咪唑类离子液体的铺展系数先随溶液质量分数的增大而迅速增大;当质量分数增加到一定程度后,铺展系数逐渐趋于平稳。这是由于离子液体能够破坏煤的物理化学结构,随溶液质量分数的增大,煤表面越发粗糙,孔隙和裂纹数量也随之增加,而煤表面孔隙和裂纹越多,则铺展效果越好;当煤体被完全破坏后,溶液在煤表面铺展随质量分数继续增大变化不大,即铺展系数逐渐趋于稳定。


2)[Emim][BF4]溶液的铺展系数明显大于其他2种溶液,即[Emim][BF4]溶液在煤表面更易于润湿铺展。这是因为离子液体可以改变煤中官能团含量,[Emim][BF4]溶液的加入可以更高效地增加煤中亲水性官能团含量,减少疏水性官能团含量,提高其在煤表面的铺展能力。


3.不同煤种的高效离子液体水溶液复配研究


为探究离子液体复配是否会起到增效的作用,即复配溶液对煤的润湿性能是否优于单一溶液。取质量分数为2%的3种离子液体按照阳、阴离子不同复配成A、B 2组活性水溶液,复配质量比为6∶0、5∶1、4∶2、3∶3、2∶4、1∶5、0∶6;分别对A、B 2组活性水溶液进行表面张力和接触角试验,研究复配溶液对煤的润湿效果。


3.1复配溶液离子数对表面张力的影响


不同复配质量比下A、B 2组复配溶液的表面张力变化情况如图5所示。

图5不同复配质量比下溶液表面张力变化情况


从图5可以看出:


1)与纯水相比,复配后的A、B 2组溶液的表面张力显著降低,A组复配溶液的表面张力随不同复配质量比变化不大,B组复配溶液的表面张力易受复配质量比变化的影响。


2)相同阳离子[Bmim][BF4]和[Bmim][Cl]复配溶液,表面张力[BF4]-略大于[Cl]-,说明在同种阳离子的情况下,[Cl]-的表面活性优于[BF4]-,这是因为[Cl]-的电负性更强,能够增强液体氢键强度,减弱阴阳离子间库仑力作用,故而表面张力减小。


3)相同阴离子复配溶液的表面张力小于相同阳离子复配溶液的表面张力,当相同阴离子复配溶液的复配质量比为2∶4时,表面张力达到最低值27.62 mN/m,且其表面张力均低于2种单一溶液的表面张力,说明该复配溶液的润湿效果最好。推测相同阴离子复配溶液中,不同的两阳离子之间可能产生了协同增润作用。


3.2复合离子液体对煤尘接触角的影响


图6为A、B组复配溶液与3种煤样接触角的对比图,不同煤样吸液时间变化情况如图7所示。

图6不同阳、阴离子复配溶液的接触角变化情况

图7不同煤样的吸液时间变化情况


从图6、图7可以看出:


1)与纯水相比,复配后的A、B 2组溶液的接触角明显降低,对于焦煤、褐煤、长焰煤,B组溶液复配质量比为2∶4时接触角降低最多,分别为31.131%,27.969%、14.713%;对于焦煤,A组溶液复配质量比为6∶0时接触角降低最多,为26.452%,对于褐煤、长焰煤,A组溶液复配质量比为1∶5时接触角降低最多,为25.982%、20.026%。


2)对于3种煤样,当复配质量比由6∶0变化到4∶2时,B组复配溶液吸液作用增强,推测此时[Emim]+发挥主要作用,其中某些基团可能破坏了煤活性结构,增大B组复配溶液对煤的溶解度;但随着复配质量比由4∶2变化到0∶6时,A组复配溶液吸液作用增强,这可能是因为与[BF4]-比较,Cl-的亲水能力更强,易于形成结合水,提高活性水的润湿能力,推测此时Cl-发挥主要作用,Cl-含量不断增加,活性水对煤尘的润湿能力不断增强。


4.结论


1)添加离子液体后,随着活性水溶液中离子液体质量分数增大,表面张力和接触角迅速减小,阴离子[BF4]-比[Cl]-对煤样的润湿作用能力更强,阳离子[Emim]+比[Bmim]+对煤样的润湿作用能力更强;


2)3种咪唑类离子液体的铺展系数随离子液体质量分数的增大而迅速增大,长焰煤的亲水能力最好,而焦煤的亲水能力最差,这与煤中亲水基团和疏水基团的含量有关;


3)相同阴离子的复配溶液润湿性优于相同阳离子的润湿性,相同阴离子复配溶液的复配质量比为2∶4时,表面张力达到最低值27.62 mN/m,对焦煤的接触角降低最多,为31.131%;


4)在一定复配质量比范围内,离子液体既可以通过破坏煤中官能团、共价键等,增强对煤尘结构的溶解能力,也可以通过降低水的表面张力,提高溶液的润湿能力。



咪唑类离子液体对不同煤尘润湿性能的影响规律(上)

咪唑类离子液体对不同煤尘润湿性能的影响规律(下)

网站地图