合作客户/
拜耳公司 |
同济大学 |
联合大学 |
美国保洁 |
美国强生 |
瑞士罗氏 |
相关新闻Info
-
> 表面张力对液滴形变的影响规律
> 混合型烷醇酰胺复杂组成对油/水界面张力的影响规律(二)
> 小桐子生物柴油制备方法、氧化程度与表面张力的相关性分析(二)
> 中性聚合物键合剂(NPBA)与奥克托今(HMX)界面张力测定及应用效果(二)
> 麦芽糖醇脂肪酸酯水溶液合成、反应条件及表面张力测定——结果与分析、结论
> 利用具有较强的表面张力的羧酸改良氧化铅锌矿球团干粉成型粘合剂
> 不同质量分数的EMI溶液的表面张力测定【实验上】
> 防治剑麻介壳虫病,推荐剂量下药剂的表面张力值多少最佳
> 平面流动皂膜表面张力系数、厚度和流动速度实验装置及测量方法(二)
> 氧化石墨烯基复合膜材料的制备方法、应用开发及前景
推荐新闻Info
-
> 表面张力对机械结合面接触载荷、真实接触面积以及接触刚度的影响规律(四)
> 表面张力对机械结合面接触载荷、真实接触面积以及接触刚度的影响规律(三)
> 表面张力对机械结合面接触载荷、真实接触面积以及接触刚度的影响规律(二)
> 表面张力对机械结合面接触载荷、真实接触面积以及接触刚度的影响规律(一)
> 一种改进的CSF模型:用于SPH流体仿真的光滑表面张力模拟(二)
> 一种改进的CSF模型:用于SPH流体仿真的光滑表面张力模拟(一)
> 减弱贾敏效应的方法|表面活性剂改善贾敏效应实验
> 贾敏效应实验方法与步骤、结果
> 贾敏效应机理、影响因素及其在低渗透油藏开发中的危害(一)
> 面向高效环保灭火剂的界面张力最小化:短链氟碳复配体系的设计与解析(四)
产低温β-甘露聚糖酶的菌株O5提升低温油藏压裂液的破胶性能——实验部分
来源:应用化学 熊玉华, 周蕾, 杨世忠, 牟伯中 浏览 1272 次 发布时间:2024-09-11
1、实验部分
1.1仪器和试剂
SpectraMax M5型多功能酶标仪(美国Molecular Devices公司);MB100-4A型微孔板恒温震荡器(杭州奥盛仪器有限公司);ZHLY-180型立式恒温振荡培养箱(上海知楚仪器有限公司);Sigma 3K15型台式高速冷冻离心机(德国希格玛公司);ProFlex型PCR仪(美国赛默飞公司);DV-ⅢULTRA型粘度计(美国Brookfield公司);旋转滴法界面张力仪(芬兰Kibron公司);EZ-Pi Plus便携式动态XVDEVIOS破解版安卓手机安装包(芬兰Kibron公司)。
瓜尔胶为工业级,由长庆钰宸公司提供;葡萄糖、NaCl、KH2PO4、Na2HPO4、MgSO4、NH4NO3、CuSO4、Na2MoO4·2H2O、FeSO4·7H2O、KCl、CaCl2、MnCl2·4H2O、D-甘露糖和3,5-二硝基水杨酸(3,5-Dinitrosalicylic acid,DNS)均为分析纯试剂;胰蛋白胨、大豆蛋白胨、酵母粉、蛋白胨、植物凝胶和琼脂均为生物试剂;细菌基因组DNA抽提试剂盒购买于德国凯杰QIAGEN公司;细菌16S rRNA基因通用引物8F(5'-AGAGTTTGATCCTGGCTCAG-3')和805R(5'-GACTACCAGGGTATCTAATC-3')由南京金斯瑞生物科技股份有限公司合成。
1.2实验方法
1.2.1样品来源与培养基
本实验所用的水样是由长庆油田提供的压裂液返排水,土样采自云南省楚雄市魔芋生产田地。
富集培养基:胰蛋白胨15.0 g/L、大豆蛋白胨5.0 g/L、酵母粉2.5 g/L、葡萄糖2.5 g/L、NaCl 5.0 g/L、KH2PO4 2.5 g/L;固体初筛培养基:瓜尔胶10.0 g/L、KH2PO4 2.5 g/L、Na2HPO4 4.0 g/L、MgSO4 0.2 g/L、植物凝胶15.0 g/L、NH4NO3 1.0 g/L;复筛培养基:瓜尔胶10.0 g/L、NH4NO3 1.0 g/L、KH2PO4 2.5 g/L、Na2HPO4 4.0 g/L、MgSO4 0.2 g/L、酵母粉0.5 g/L、微量元素1.0%(体积分数);发酵产酶培养基:瓜尔胶15.0 g/L、NH4NO3 1.0 g/L、KH2PO4 2.5 g/L、Na2HPO4 4.0 g/L、MgSO4 0.2 g/L、酵母粉0.5 g/L、微量元素1.0%(体积分数);微量元素配方:CuSO4 0.1 g/L、Na2MoO4·2H2O 0.1 g/L、FeSO4·7H2O 2.0 g/L、CaCl2 1.0 g/L、MnCl2·4H2O 0.5 g/L;种子培养基:蛋白胨10.0 g/L、酵母粉5.0 g/L、NaCl 10.0 g/L;LB固体培养基:蛋白胨10.0 g/L、酵母粉5.0 g/L、NaCl 10.0 g/L、琼脂18.0 g/L。以上培养基在使用前,均在121℃高压灭菌20 min。
1.2.2菌株的高通量筛选
称取1.0 g魔芋地土样于锥形瓶中(魔芋地的土壤环境适合β-甘露聚糖酶产生菌的生长),加入5.0 mL水样和100.0 mL蒸馏水,在37℃、180 r/min的立式恒温振荡培养箱(摇床)中震荡培养30 min,充分混匀后室温静置1 h,分层后取2.0 mL上层清液转接于200.0 mL富集培养基中培养,37℃、180 r/min恒温震荡48 h。取200.0μL富集培养的菌液均匀涂布于以瓜尔胶为唯一碳源的OD 90 mm(培养基直径为90 mm)固体初筛培养基上,倒置培养60 h,之后用1.0%(质量分数)刚果红染液染色,观察菌落周围有无透明圈,挑取透明圈大的单菌落转接到于装有2.0 mL复筛培养基的96孔培养板中继续培养,在微孔板恒温震荡器中37℃、500 r/min震荡培养48 h。将培养后的发酵液置于台式高速冷冻离心机(离心机)中,4℃、3000 r/min离心20 min,上清液即为粗酶液,根据瓜尔胶降解情况及酶活力大小进行复筛,同时进行甘油保藏(甘油和LB溶液的体积比为1∶1)。
1.2.3菌株的形态观察及种属鉴定
形态特征观察将筛选得到的菌株接种于种子培养基中,37℃、180 r/min活化培养,取对数生长期菌液稀释涂布于LB固体培养基上,37℃倒置培养,观察菌落的形态特征。采用革兰氏染色法,在显微镜下观察菌体结构,并通过扫描电子显微镜观察菌体形态及大小。
分子生物学鉴定按照细菌基因组DNA抽提试剂盒说明书进行DNA的提取,以基因组DNA为模版,采用细菌的通用引物8F和805R进行PCR(聚合酶链式反应)扩增。对PCR产物进行琼脂糖凝胶电泳检测后,送至上海华大基因科技有限公司测序。将测序结果在NCBI数据库中(http://www.ncbi.nlm.gov/blast/)进行BLAST同源性比对(BLAST是在NCBI数据库中进行相似性分析的工具),并利用MEGA软件的N-J法构建系统发育进化树。
1.2.4酶活力的测定
采用3,5-二硝基水杨酸法对β-甘露聚糖酶酶活力进行测定,用pH=7.0的PBS缓冲液(每100 mL PBS缓冲液由38 mL 0.2 mol/L的Na2HPO4和62 mL 0.2 mol/L的KH2PO4配成)配制0.5%(质量分数)的瓜尔胶底物溶液。反应体系包含50.0μL粗酶液和450.0μL的瓜尔胶底物溶液,50℃反应10 min后,加入1.0 mL的DNS试剂终止反应,沸水浴10 min显色后,立刻冰水浴冷却至室温。取200.0µL反应液转移至96孔板中,在540 nm处用多功能酶标仪测定吸光度,实验每组设置3个平行,结果取平均值。以不同浓度D-甘露糖为标准品制作标准曲线,并根据标准曲线计算产生的还原糖量。在一定温度和pH值条件下,1 min催化底物水解产生1.0μmol相当于D-甘露糖的还原糖所需要的酶量,定义为1.0个酶活力单位。采用Bradford法测定蛋白质浓度,比活的定义为:每毫克酶蛋白所具有的酶活力。
1.2.5酶学性质表征
粗酶液的制备在无菌环境下将筛选得到的菌株接种到种子培养基中,37℃、180 r/min活化培养24 h,按5.0%的接种量转接到发酵产酶培养基中,37℃、180 r/min摇床培养72 h,将发酵液于4℃下,9000 r/min离心20 min,收集上清液,上清液即为粗酶液,于4℃冰箱冷藏备用。
最适温度按照1.2.4小节的方法分别在不同温度:5、10、15、20、25、30、35、40、50、60、70、80、90和100℃下反应,测定β-甘露聚糖酶活力。以未经处理的同温度下的瓜尔胶底物溶液作为空白对照。以最适温度下的酶活力为100%,计算不同温度下的相对酶活力。实验每组设置3个平行样,结果取平均值(下同)。
最适pH值分别用pH值为2.0、3.0、4.0、5.0、6.0、7.0、8.0、9.0、10.0、11.0和12.0的缓冲液配制0.5%(质量分数)瓜尔胶底物溶液,按照1.2.4小节的方法在最适温度下测定β-甘露聚糖酶活力。以未经处理的相同pH值的瓜尔胶底物溶液作为空白对照。以最适pH值下的酶活力为100%,计算不同pH值下的相对酶活力。
热稳定性将粗酶液分别在60、70和80℃的恒温水浴中孵育1 h,孵育期间每隔10 min取50.0µL该粗酶液加入瓜尔胶底物溶液中,按照1.2.4小节的方法在最适反应条件下测定β-甘露聚糖酶的残余活力,以评价酶的热稳定性。
pH值稳定性将粗酶液分别在pH值为4.0、5.0、6.0、7.0、8.0和9.0的缓冲液中孵育2 h,孵育期间每隔20 min取50.0µL该粗酶液加入瓜尔胶底物溶液混匀。按照1.2.4小节的方法在最适条件下测定β-甘露聚糖酶的残余活力,以评价酶的pH值稳定性。
1.2.6低温降解瓜尔胶
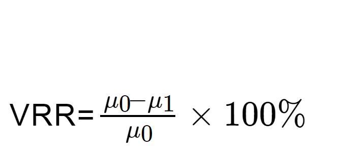
配制0.8%(质量分数)的瓜尔胶底物溶液,加入1.0%(体积分数)的粗酶液,分别在5和20℃下恒温水浴,测定不同作用时间下瓜尔胶溶液的粘度变化,每次测量3次取平均值。以未经处理的瓜尔胶溶液作为空白对照,评价反应温度为5和20℃时,β-甘露聚糖酶对瓜尔胶的降粘效果。降粘率(Viscosity Reduction Rate,VRR)的计算如公式(1)所示:
式中,μ0为降粘前的粘度(mPa∙s),μ1为降粘后粘度(mPa∙s)。
1.2.7破胶性能评价
压裂液的配制按照国标SY/T 5107-2016《水基压裂液性能评价方法》中压裂液试样制备方法制备压裂液。压裂液配方为:基液:0.35%(质量分数)瓜尔胶、1.0%(质量分数)KCl、0.1%(质量分数)杀菌剂、0.18%(质量分数)Na2CO3、0.036%(质量分数)NaHCO3;交联液:1.0%(体积分数)硼砂溶液,交联剂比为100∶5(体积比);酶破胶剂:1.0%(体积分数)。
粘度的测定按配方配制压裂液,将加入酶破胶剂的冻胶分别置于5、10、15、20、25、30、40、50、60、70、80和90℃的恒温水浴中,在破胶3和6 h时取其上层清液,于室温下用粘度计测定破胶液的粘度,每次测量3次取平均值(下同)。
表面张力和界面张力的测定待压裂液交联后,加入酶破胶剂,分别在10、20和50℃的恒温水浴中破胶3 h,待破胶液的粘度降低到5 mPa·s以下后,将破胶液倒入烧杯中,用XVDEVIOS破解版安卓手机安装包测定破胶液的表面张力,用界面张力仪测定破胶液与煤油界面张力,测试温度为50℃。
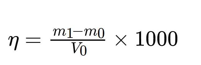
残渣量的测定按照国标SY/T 5107-2016《水基压裂液性能评价方法》中指出的残渣量的检测方法进行测定。制备定量体积V0的压裂液冻胶,加入酶破胶剂,分别置于10、20和50℃的恒温水浴中破胶。室温测定破胶液粘度低于5 mPa·s时视为彻底破胶。将彻底破胶后的溶液全部转移到已经烘干称重的离心管中(质量记为m0),在离心机中5000 r/min离心30 min,慢慢倒出上层清液,然后用蒸馏水清洗破胶容器后倒入离心管中,再次离心20 min并倒出上层清液。将离心管放入干燥箱中105℃下烘干至恒重(质量记为m1)。压裂液残渣含量计算如公式(2)所示:
式中,η为压裂液残渣质量浓度(mg/L);(m1-m0)为残渣质量(mg);V0为压裂液用量(mL)。
产低温β-甘露聚糖酶的菌株O5提升低温油藏压裂液的破胶性能——摘要





