XVDEVIOS官方下载免费版,XVDEVIOS破解版安卓手机安装包,XDEVIOS官方免费版安装,XVDEVIOS中文版安装包

芬兰Kibron专注XVDEVIOS破解版安卓手机安装包测量技术,快速精准测量动静态表面张力

热线:021-66110810,66110819,66110690,13564362870 Email: info@vizai.cn

合作客户/

拜耳公司.jpg

拜耳公司

同济大学

同济大学

联合大学.jpg

联合大学

宝洁公司

美国保洁

强生=

美国强生

瑞士罗氏

瑞士罗氏

当前位置首页 > 新闻中心

双子型起泡剂ULT-1的分子结构式、表面张力、抗温/抗盐性能及煤样润湿性变化——实验

来源:中南大学学报(自然科学版) 浏览 883 次 发布时间:2025-08-26

2实验


2.1材料与仪器


材料有:1-十二烷醇C12H25OH,化学纯,济宁宏明化学试剂有限公司生产;四丁基硫酸氢铵(TBAHS)Bu4NHSO4,分析纯,天津致远化学试剂有限公司;1,3-丙二醇HOCH2CH2CH2OH,分析纯,济宁宏明化学试剂有限公司生产;环氧氯丙烷C3H5ClO,化学纯,济宁宏明化学试剂有限公司生产;氢氧化钠NaOH,分析纯,济宁宏明化学试剂有限公司生产;无水乙醇C₂H₅OH,化学纯,济宁宏明化学试剂有限公司生产;BF3-乙醚溶液,北京化工厂生产;氯磺酸HSO3Cl,化学纯,成都化夏化学试剂有限公司生产;去离子水,分析纯,实验室自制。


仪器有:傅里叶变换红外光谱仪,高分辨质谱仪,Bruker公司制造;接触角/表面张力测量仪,芬兰Kibron公司制造;高速变频无级调速搅拌机,青岛同春石油仪器有限公司制造;电热恒温鼓风干燥箱,电动搅拌机,数控恒温油水浴锅,旋转蒸发仪,北京神泰伟业科技有限公司制造;电子天平,上海舜宇恒平科学仪器有限公司制造;三口烧瓶、恒压滴液漏斗、量筒、分液漏斗、烧杯、锥形瓶、球形冷凝管、保温漏斗、酒精灯。


2.2起泡剂ULT-1的合成


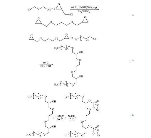
在三口烧瓶中加入1,3-丙二醇、环氧氯丙烷和四丁基硫酸氢铵,在40~50℃下搅拌。用恒压滴液漏斗滴加质量分数为50%NaOH水溶液,继续在40~60℃搅拌2 h。用分液漏斗分出上层有机相,加入乙醇,热过滤除去无机盐,旋蒸除去乙醇和环氧氯丙烷,干燥得到环氧醚。在三口烧瓶中加入1-十二醇,BF3-乙醚溶液,搅拌片刻升温至30~40℃,在搅拌条件下逐滴加入上步产物环氧醚,滴完后升温至60~80℃,搅拌5 h,用分液漏斗分出上层有机相,旋蒸除去十二醇和环氧醚,干燥得到醇醚。在三口烧瓶中加入上步产物醇醚,搅拌,在10~20℃时非常缓慢地滴加氯磺酸,采用尾气回收装置除去氯化氢气体,搅拌3 h,加入乙醇,热过滤除去无机盐,旋蒸除去乙醇,干燥得到最终产物起泡剂ULT-1。反应原理如下列:

2.3起泡剂ULT-1的结构表征


1)红外光谱分析。将中间产物环氧醚和醇醚采用液膜法制样,新型起泡剂ULT-1采用溴化钾压片法制样,利用傅里叶变换红外光谱仪表征其分子结构。


2)质谱分析。将研制的新型起泡剂ULT-1用甲醇溶解,利用高分辨质谱仪采用电喷雾质谱法(ESI−MS)表征其分子结构。


2.4起泡剂ULT-1的性能评价


1)表面张力。在室温下,利用接触角/表面张力测量仪,通过最大拉力法测定一系列不同质量分数起泡剂ULT-1水溶液的表面张力。


2)起泡性能。在室温下,参照中国石油天然气行业标准SY/T 5350—2009“钻井液用发泡剂评价程序”的测试方法,评价一系列不同质量分数起泡剂ULT-1水溶液的起泡性能,包括发泡体积和半衰期,同时评价常规起泡剂十二烷基硫酸钠、十二烷基苯磺酸钠、十二烷基二甲基甜菜碱的泡沫半衰期进行对比。


3)抗盐性能。在室温下,参照中国石油天然气行业标准SY/T 5350—2009“钻井液用发泡剂评价程序”的测试方法,评价质量分数0.2%的起泡剂ULT-1水溶液抗NaCl污染的能力。


4)抗温性能。在一定温度下,参照中国石油天然气行业标准SY/T 5350—2009“钻井液用发泡剂评价程序”的测试方法,评价质量分数为0.2%的起泡剂ULT-1水溶液的抗温性能。


5)煤样润湿性。在室温下,利用接触角/表面张力测量仪,通过五点拟合法分别测量纯水在原始煤样(煤样A)、质量分数为0.2%的起泡剂ULT-1水溶液浸泡1 h烘干的煤样(煤样B)、质量分数为0.2%的起泡剂ULT-1水溶液浸泡1 h后,低速水流冲洗1 h烘干的煤样(煤样C)表面的接触角,测定起泡剂ULT-1对煤样润湿性能的影响。实验中所用煤样取自滇东黔西地区,需经过以下步骤处理:用砂纸(6μm)将各个煤块的上下两面磨至水平,再用细毛刷清除研磨时掉下的黏附在煤面上的煤粒和砂粒,然后用细砂纸(1.8μm)将各个煤块的上、下两面磨至光滑,进行抛光处理,最后用细毛刷清除研磨时掉下的黏附在煤面上的煤粒和砂粒,得到上、下两面水平光滑的待测煤样。


双子型起泡剂ULT-1的分子结构式、表面张力、抗温/抗盐性能及煤样润湿性变化——摘要

双子型起泡剂ULT-1的分子结构式、表面张力、抗温/抗盐性能及煤样润湿性变化——实验

双子型起泡剂ULT-1的分子结构式、表面张力、抗温/抗盐性能及煤样润湿性变化——结果与讨论、结论

网站地图