合作客户/
拜耳公司 |
同济大学 |
联合大学 |
美国保洁 |
美国强生 |
瑞士罗氏 |
相关新闻Info
-
> 海藻糖脂:一种兼具优异发泡性能与皮肤温和性的新型表面活性剂(一)
> 海洋环境表面活性物质来源及对海洋飞沫气溶胶数浓度、粒径分布、理化性质的影响(一)
> 电极界面剩余电荷量越大,界面张力(界面自由能)就越小
> 双缔合型稳泡剂及其制备方法和应用
> 基于表面张力等工艺参数控制耐碱玻璃纤维网格布浸胶量
> 利用具有较强的表面张力的羧酸改良氧化铅锌矿球团干粉成型粘合剂
> 新型悬滴实验系统的研制与二甲基亚砜/甲醇混合物表面张力测量(二)
> 表面活性剂对微纳米气泡曝气中体积/液相传质系数、氧传质的影响
> 悬滴法表面张力实验系统为邻二甲苯、间二甲苯等提供热物性数据
> 什么是XVDEVIOS中文版安装包?XVDEVIOS中文版安装包用在什么地方
推荐新闻Info
-
> 表面张力对机械结合面接触载荷、真实接触面积以及接触刚度的影响规律(三)
> 表面张力对机械结合面接触载荷、真实接触面积以及接触刚度的影响规律(二)
> 表面张力对机械结合面接触载荷、真实接触面积以及接触刚度的影响规律(一)
> 一种改进的CSF模型:用于SPH流体仿真的光滑表面张力模拟(二)
> 一种改进的CSF模型:用于SPH流体仿真的光滑表面张力模拟(一)
> 减弱贾敏效应的方法|表面活性剂改善贾敏效应实验
> 贾敏效应实验方法与步骤、结果
> 贾敏效应机理、影响因素及其在低渗透油藏开发中的危害(一)
> 面向高效环保灭火剂的界面张力最小化:短链氟碳复配体系的设计与解析(四)
> 面向高效环保灭火剂的界面张力最小化:短链氟碳复配体系的设计与解析(三)
水面上单分子层膜通过磷脂光控开关实现可逆光学控制——结果与讨论
来源:上海XVDEVIOS官方下载免费版 浏览 2022 次 发布时间:2021-11-22
结果和讨论
表面压力。在呈现VSFG光谱之前,XVDEVIOS官方下载免费版首先报告了不同单分子膜的压力-面积等温线。图2显示了DT Azo-5P在光开关两种状态下的等温线。根据Kaganer等人23给出的含有气相(G)、液相膨胀(LE)和凝聚相的广义等温线,XVDEVIOS官方下载免费版对等温线进行了初步赋值。当DT Azo-5P在其热稳定反式状态下压缩时,当表面压力变得有限时,发生转变,低于每个分子约80Å2。该跃迁被指定为从LE/G共存区到LE相的跃迁。在每个分子50Å2处观察到第二个压力不连续,表明在凝聚相形成之前从LE过渡到LE/凝聚共存。在每个分子的密度约为30Å2时,单层坍塌。

图2。反式和顺式状态下的光开关脂质DT Azo-5P(实线)、d75-DPPC(虚线)以及光开关两种状态下的1:5摩尔比的光开关脂质和d75-DPPC(虚线)的表面压力与面积等温线。
顺式状态的光脂的等温线(在沉积到水面之前用370nm的光照射)看起来非常不同。首先,在低得多的密度下,压力是有限的。这与先前对含偶氮苯分子2,24的观察结果一致,最有可能源于顺式分子的较大分子足迹。8较大的分子足迹意味着顺式分子的密度低于反式异构体,顺式分子的密度较低时会发生脂间相互作用和有限表面压力的开始。第二,每个分子在55Å2处发生转变,这可能表明从LE相向更凝聚相的转变。当每个分子的面积低于50Å2时,反式态的压力显著高于顺式态的压力。
d75 DPPC的等温线显示了脂质单层的特征相:23 G/LE共存于每个分子100Å2以上,LE直到大约60Å2,然后是LE和凝聚相共存的平台(由于相对较高的压缩速度,在这种情况下不是很平坦),最后是凝聚相,大约每分子45Å2。
5:1 DPPC/DT偶氮-5P混合物的等温线始终低于分离分子的等温线。如果两种不同的脂质存在于分离良好的区域的表面上,或者如果它们在没有相互作用的情况下理想地混合,人们期望混合物的等温线是纯脂质等温线的简单总和。25,26显然,这里不是这种情况,这表明两种脂质是可混溶的,并形成非理想的混合单层。由于在任何压力下,混合物的每个分子的面积都低于两个纯取代基的部分面积之和,因此可以得出结论,这两种类型的脂质具有吸引人的相互作用,25可能具有不同的来源。首先,DT偶氮-5P头基上的正电荷和DPPC上的两性离子电荷可能导致DPPC和DT偶氮-5P之间的相互作用比同类脂质之间的相互作用更具吸引力。第二,在混合物中,头基区域可能脱水,导致更紧密的堆积;第三,两种脂质的形状不同:DT Azo-5P和DPPC分别为圆锥形和圆柱形。对于混合物,这也可能导致更致密的填料几何结构。
图3。密度为75Å2/分子,压力为∼300万/米。共振信号叠加在一个大的非共振背景上,由于共振信号和非共振信号之间的干扰,产生色散线型。黑色虚线曲线表示NR振幅设置为零时的DT Azo-5P信号。
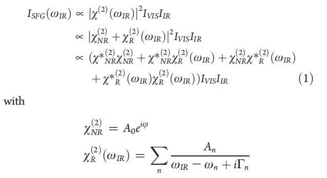
DT Azo-5P单分子膜的振动和频发生光谱(VSFG)。图3a描绘了在3 mN/m的表面压力和75Å2的分子面积下,处于反式状态的光脂DT Azo-5P凝聚相的单层的灰色VSFG光谱。光谱显示了CH2的共振(∼2840 cm-1)和CH3对称拉伸模式(∼2860 cm-1),CH2和CH3不对称拉伸模式∼2890和2940 cm-1,以及3000 cm-1以上的芳香CH信号,源自偶氮苯部分。2,11-13 3100 cm-1以上,光谱主要由水亚相的OH振动控制。频谱在低频时有一个不寻常的高(非零)基线,这表明一个高非共振信号。为了检查这种可能性,使用以下表达式拟合光谱:11,12
磁化率包含一个非共振项,振幅为A0,相位相对于共振项j,以及一个共振项。后者通过共振频率ωn、线宽2Γn和振幅An来描述n个振动共振。
共振项振幅的相对符号取自文献。12,27,28拟合结果如图3中黑色所示。事实上,拟合显示DT Azo-5P的非共振振幅比通常观察到的脂质单层(如DPPC)的非共振振幅大3倍(见下文)。图3a中的黑色虚线曲线说明了对信号的较大非共振贡献的影响,该曲线表示使用DT Azo-5P共振响应(从拟合结果获得)的计算频谱,但非共振振幅设置为零(水振幅被设置为零,从零开始,尾巴在CH区域也充当NR信号)。当NR振幅设置为零时,XVDEVIOS官方下载免费版不仅观察到背景降低,而且还观察到视共振信号大小减小了2到5倍,具体取决于红外频率。通过测量罗丹明6G的VSFG光谱,XVDEVIOS官方下载免费版观察到了由于电子跃迁而产生的类似信号增强。29,30然而,在这种情况下ase作者使用可见光与电子激发共振,因此他们进行了双共振实验。对于DT Azo-5P,在800 nm处没有电子跃迁,因此没有双共振效应;增强完全是非共振的。因此,对于目前的系统,非共振信号外差共振由χNR(2)和χR(2)的交叉项引起的nt信号(见等式1最后一行中的第二项和第三项),并增强信号而不是影响χR(2)如罗丹明6G.29,30所直接得出的结论,外差效应因此不仅是分子内的,而且是分子间的,并且可以直接用于增强高稀释样品中的低信号,例如,通过简单地将含苯部分添加到单层中。这意味着VSFG光谱中的信号大小是在这种情况下,并不像在大多数非共振贡献非常小的情况下那样简单地依赖于分子数量。在附录中,XVDEVIOS官方下载免费版证明,由于外差效应,在存在光脂的情况下,可以测量相对较低水平的DPPC。这种非共振外差效应可能提供一种有用的去共振方法检测分子单层中低浓度分子的振动响应。
振动和频产生光谱(VSFG)DT Azo-5P在顺式和反式状态下的振动。为了获得关于不同状态下脂质分子结构的信息,在辐照循环期间测量VSFG光谱。脂质分子振动提供关于分子构象、取向和顺序的直接信息。11-18图4a中描述了以每分子75Å2的表面密度对纯DT Azo-5P单层进行的辐照循环。以顺式和反式异构体的混合物形式铺展的样品依次以370和450 nm的波长进行辐照∼各100 s。在用370nm辐照后,压力上升至16 mN/m,而450 nm辐照导致压力下降至3 mN/m,这与图2中两个等温线之间的垂直转换一致。图4b显示了顺式和反式状态在CH区域的VSFG光谱,其本质上分别表现为高和低表面压力。分别位于非共振背景之上(水平黑线标记为零),顺式和反式构型的光谱显示3000 cm-1以下烷基链的脂肪族CH2和CH3模式,以及3000 cm-1以上的芳香族CH拉伸模式2,11-13,如上所述。此外,在3100 cm-1以上,底层水的OH振动信号明显。水光谱的较大部分如图F所示图4c显示,水信号在反式状态下大约是顺式状态下的1.4倍,但其光谱形状相似。
图4。 (a) 在每分子面积为75Å2的脂质/H2O界面处,作为光开关脂质时间函数的表面压力。 用370和450 nm光照射 ∼ 100秒分别产生顺式(高压)和反式(低压)状态。 压力的微小剧烈波动是由于样品高度的变化,以校正水的蒸发。 (b和c)CH和OH区域(灰色)中相应的VSFG光谱以及洛伦兹线形状模型的拟合(见正文)。 为了清晰起见,光谱已被抵消。 t1至t4对应于面板a中获取光谱的时间。 (d) 脂质尾部方向的示意图。 光开关脂质的偶氮苯部分用灰色圆圈表示。
脂尾的分子顺序可以从C-H伸展区的VSFG反应中获得。 对于磷脂的有序单层,亚甲基CH2的VSFG强度较低,而甲基CH3的拉伸强度较高,这分别是由于全反式烷基链的反转对称性导致亚甲基CH2偶极子的取消和甲基基团的集体取向, 导致甲基CH3偶极子的有效相干加成。 另一方面,当gauche缺陷形成时,烷基链内的反转对称性被破坏,亚甲基对称拉伸模式的相对强度增加; 同时,无序降低了甲基的强度。 因此,可以通过脂质烷基链中甲基和亚甲基的强度或振幅比来量化空气-水界面上脂质的顺序。31在光脂的顺反状态之间切换,CH2对称拉伸(2848 cm-1)和CH3对称拉伸(2871 cm-1)确实显示出差异, 如图4b所示。 特别是,在反式情况下观察到较高的CH3/CH2比率,这表明尽管压力较低,但烷基链的阶数较高。 在反式态中观察到的这种更高的分子顺序与MD模拟结果一致,MD模拟结果表明,在反式态中,尾部更长。8,32
为了获得更多关于峰值振幅和脂质尾部分子顺序的定量信息,使用上述模型对光谱进行拟合。 拟合结果如图4b中的黑线所示。 从拟合中不同洛伦兹峰的振幅中,XVDEVIOS官方下载免费版清楚地发现,对于对称拉伸模式,CH3/CH2振幅比为6(在反式状态下比顺式状态下高3倍)。类似的拟合(图4c,黑线) 对水信号的分析表明,非共振信号的增加不是反式情况下较高水信号的原因,因为共振贡献远大于非共振。反式状态下的共振水响应强度比顺式状态高1.4倍。
为了弄清分子取向是否随开关而改变,在不同的极化下进行了实验。结果如图5所示。反式和顺式之间的差异比图4中的数据更明显,因为脂质密度更高。PPP数据(图5b) 表现出与SSP相同的行为:从反式到顺式时,CH3对称和非对称拉伸减小。第一个在2860 cm-1处可见光谱减小,而第二个在2940 cm-1处导致倾角减小(由于负振幅,峰值显示为倾角) 。密度稍低的SPS光谱显示出细微的差异。显然,三种不同的极化显示出相同的趋势,由此XVDEVIOS官方下载免费版得出结论,在系统中,单分子层内没有发生重大的分子集体重新定向。
图5.(a)在P的反式和顺式状态下,每分子65Å2面积的DT Azo-5P纯单层的标准化VSFG光谱与SSP极化分别为6和20 mN/m。(b)与a部分类似,但对于PPP极化。(c)反式和顺式状态的SPS极化中的SFG光谱( ∼ 每分子78Å2),压力为2和15 mN/m。三个面板具有相同的垂直刻度。
XVDEVIOS官方下载免费版想从XVDEVIOS官方下载免费版的数据中推断出分子构象的图片。 这样一幅图必须始终如一地解释反式和顺式状态的以下观察结果:(i)尽管(ii)反式状态的压力较低,(iii)反式状态的水信号较大,但反式状态的分子顺序增加。 由于较大的水信号意味着更多的水分子排列整齐,XVDEVIOS官方下载免费版可以得出结论,在反式情况下,带负电的脂质下面的水比顺式情况下排列整齐。 一般来说,由于静电势,头部基团的电荷决定排列的水的数量:在所有其他条件相同的情况下,带电脂质排列的水比两性离子脂质排列的水多。 (参见,例如,参考文献28)顺式和反式之间的主要区别是偶氮苯部分周围的偶极矩,顺式和反式偶氮苯的偶极矩分别为4.5和1.3 D。33顺式状态下较高的偶极矩使得与水的相互作用更有利。5, 在顺式反应中,部分偶氮苯部分与水相互作用,从而降低水信号,可能是通过降低界面处的表面电位。 当顺式偶氮苯基团中的大偶极子足够靠近表面以屏蔽磷酸盐头基团中的部分负电荷时,可以解释这些观察结果。 偶氮苯部分的偶极矩垂直于NdN键。 为了使偶极子自身垂直于表面平面定向,脂质尾部必须形成一个环,这确实是先前针对偶氮苯基中性表面5和含偶氮苯聚合物提出的。2图4d的上面板中示意性地描述了这种情况。 环的形成也解释了顺式态比反式态压力更高的原因,因为分子的足迹大幅度增加。 最有可能的是,在反式态中,π-π键比与水的相互作用更有利。 顺式情况下的环形成和反式情况下的长链也解释了观察到的反式情况下脂质尾部顺序增加的现象。 总之,顺式状态下的低阶、低水信号和高压力都与分子图一致,其中至少部分脂质尾部形成环,因此具有大偶极矩的顺式偶氮苯基团(近)与水接触。 在横穿状态下,尾巴更长,不与水接触。 图4d中给出了可能的分子图的草图。
对于DT Azo-3P,VSFG光谱与DT Azo-5P的光谱相似。 这些分子的偶氮苯部分在链中的位置不同:DT Azo-5P和DT Azo-3P的偶氮苯部分分别与头基相距5和3个CH2基团。 XVDEVIOS官方下载免费版在两种分子的光谱中观察到相同的光谱特征,并且两种脂质在反式状态下的阶数更高。 对于尾部末端带有偶氮苯基团的脂质(DT Azo-9P),顺式和反式的光谱是不可分辨的; 显然,如果分子开关完全位于尾部末端,脂质的排列不会受到影响。 上述外差效应对于DT Azo-3P、DT Azo-5P和DT Azo-9P非常相似。
图1。 顺式和反式构型的光开关脂质DT Azo-5P和d75 DPPC的分子结构。 右上角的插图显示了CHCl3中DT Azo-5P的紫外/可见光谱( ∼ 在370nm(顺式状态)和450nm(反式状态)下辐照约10s后,使用7μM,1cm的反应杯。
DT偶氮-5P和DPPC的混合物。为了研究DT-Azo-5P对传统脂质构象行为的影响,XVDEVIOS官方下载免费版制备了由DPPC和DT-Azo-5P混合物组成的单分子膜。为了能够容易地区分不同的脂质,XVDEVIOS官方下载免费版在这些实验中使用了d75 DPPC和非中和DT Azo-5P。通过这种方式,XVDEVIOS官方下载免费版可以在很大程度上区分两种不同脂质的分子振动。不幸的是,d75 DPPC分子中仍然存在5个氢原子(图1),这提供了VSFG信号,通过查看图6c和7c中的底部曲线可以观察到,图6c和7c显示了纯d75 DPPC的光谱(完全氘化的DPPC在市场上不可用)。图6c中约2960 cm-1处的峰值源自位于d75-DPPC头部和尾部之间的这些CH组的振动。该峰在纯磷脂单层中不存在(图4b)。图6a显示了d75 DPPC/DT偶氮-5P的5:1混合物在每个分子60Å2下的辐照循环。表面压力在3和9 mN/m之间重复变化。CD和CH光谱范围内的相应VSFG光谱分别如图6b和c所示。CD范围内的光谱与之前报道的纯d62-DPPC34的光谱非常匹配,表明头部基团(胆碱基团)的CH3基团对光谱的贡献可以忽略不计:只有尾部的振动模式可见。不同的峰可分配如下:CD3对称拉伸(2066 cm-1)、CD2对称拉伸(2100 cm-1)、CD3费米共振(2124 cm-1)、CD2不对称拉伸(2195 cm-1)和CD3不对称拉伸(2218 cm-1)。如上所述,与纯DPPC相比,光开关脂质的存在表现为更高的非共振背景。在这种低密度的光脂中,在CD(DPPC)和CH(DPPC和光脂)区域,观察到的光开关脂质的反式和顺式状态的SFG光谱之间的差异明显小于纯单层。CH区域的光谱(图6c)主要由3000 cm-1以上的水带、2960 cm-1处DPPC的峰值以及2850 cm-1附近光开关脂质的CH2和CH3对称拉伸振动控制。由于在表面存在的分子中只有大约17%是光开关脂质,并且在一阶近似下,VSFG信号二次依赖于分子数量,因此很明显,这些分子的振动在光谱中并不明显。在较高的总密度(但恒定的DPPC:DT Azo-5P比率)下,顺式和反式状态之间的差异较大,如图7第b和c部分所示,其中密度为30Å2/分子,压力在26和32 mN/m之间交替(图7a)。如果在反式状态下存在光开关脂质,则不同峰值的振幅更高,这部分是由于在反式状态下具有更高的NR背景。
图6。在脂质/H2O界面处,DT Azo-5P/d75 DPPC的1:5混合物的结果,每个分子的面积为60Å2。(a) 表面压力与时间的关系。用370和450 nm光照射∼100秒分别产生顺式(高压)和反式(低压)状态。压力的微小剧烈波动是由于样品高度的变化,以校正水的蒸发。(b) 相应的VSFG光谱(灰色)以及CD区域的拟合。为了清晰起见,光谱已被抵消。(c) VSFG光谱(灰色)以及用于引导眼睛进入CH区域的拟合。底部曲线显示了在P时纯d75 DPPC的光谱∼ 40百万/米。(d) 脂质尾部方向的示意图。光开关脂质的偶氮苯部分用灰色圆圈表示。
图7。在脂质/H2O界面处,DT Azo-5P/d75 DPPC的1:5混合物的结果,每个分子的面积为30Å2。(a) 表面压力与时间的关系。用370和450 nm光照射∼100秒分别产生顺式(高压)和反式(低压)状态。压力的微小剧烈波动是由于样品高度的变化,以校正水的蒸发。顺式状态下表面压力的降低可能是由于单层的松弛或胶束或囊泡的形成减少了表面脂质的数量。(b) 相应的VSFG光谱(灰色)以及CD区域的拟合。为了清晰起见,光谱已被抵消。插图显示了相互重叠的反式和顺式光谱,以强调差异。(c) VSFG光谱(灰色)以及用于引导眼睛进入CH区域的拟合。底部曲线显示了在P时纯d75 DPPC的光谱∼ 40百万/米。(d) 脂质尾部方向的示意图。光开关脂质的偶氮苯部分用灰色圆圈表示。
为了获得更定量的分子顺序视图,图8 a和b部分给出了四种不同密度下DPPC的CD3和CD2对称拉伸模式的振幅,拟合如图6b和7b所示(黑线)。正如预期的那样,在顺式和反式状态下,CD3振幅随着密度的增加而增加,而CD2振幅随着密度的增加而减少(每个分子的面积较低),如图中的不同颜色所示。这是由于随着密度的增加,烷基链的矫直减少了粗齿缺陷的数量。随着密度的增加,阶数增加,表面压力也增加。值得注意的是,当压力通过从反式到顺式(而不是通过增加表面覆盖率)增加时,CD3和CD2之间的反相关性仍然存在,但现在压力的增加使CD3振幅下降,而CD2振幅上升(XVDEVIOS官方下载免费版注意到,考虑到实验数据点上的误差条,后一个结论有些试探性)为了强调DPPC/DT Azo-5P混合物的这种违反直觉的行为,图8的右面板显示了相同对应压力下纯正常DPPC的拟合结果。右面板中的每个数据点模拟了左面板中各点的压力;XVDEVIOS官方下载免费版比较了压力,而不是密度。显然,樟宜ng纯DPPC的压力比混合物的压力大得多。已经处于非常低的压力(P=3)混合物中的CD3对称拉伸模式有明显的信号,但纯DPPC几乎没有信号;光开关脂质的存在导致已经处于非常低压力下的CD3基团的更高阶。对于高压,纯DPPC的CH2模式几乎完全消失,而对于混合物,仍然存在明显的CD2信号nal;如果存在DT Azo-5P,则尾部的有序性较低。这并不奇怪,因为DT Azo-5P脂质会在完全压缩的DPPC单层中充当填充缺陷。此外,在低密度(压力高达∼15 mN/m)改变压力对纯DPPC的影响比对混合物的影响更显著。显然,光开关脂质对压力的影响大于对脂质分子顺序的影响。
图8.在d75 DPPC和DT Azo-5P(左)的5:1比率的实验中,d75 DPPC和纯正常DPPC(右)的拟合结果。(a)CD3对称拉伸振动模式的振幅作为不同密度的光开关脂质状态的函数;(b)CD2对称拉伸振动模式的振幅作为不同密度的光开关脂质状态的函数;右图显示了纯DPPC的类似结果,压力与左图相似,其中(c)CH3对称拉伸振动模式的振幅和(d)CH2对称拉伸模式的振幅。共振的宽度和频率在拟合中是固定的。
图9。 (a) 正常DPPC和d75 DPPC不同混合物的CD区VSFG光谱。 图中给出了混合物中正常DPPC的百分比。 为清晰起见,光谱偏移,细线表示零。 (b) 与a部分类似,但适用于DT Azo-5P与d75 DPPC的混合物。 (c) 通过拟合文中描述的VSFG光谱获得的CD振动振幅之和,作为含正常DPPC或DT Azo-5P的二元混合物中分数d75 DPPC的函数。 在本实验中,为了获得混合物的高质量数据,IR通量很高,导致通过VSFG光谱中相对较高的CH2和CD2振幅观察到的脂质尾部出现小的无序。
因此,一个有趣的观察结果是,当压力通过光开关增加时,光脂质和DPPC-的脂质单层中的分子无序度随着压力的增加而增加。 这不仅适用于磷脂本身,也适用于混合物。 这似乎是违反直觉的,因为人们可能认为,在更高的压力下,增加的脂质相互作用将导致烷基链更有序。 然而,这种现象可以通过注意以下几点来解释:表面压力等于单位面积表面自由能的减少。 表面自由能主要由脂质与水界面的静电和偶极相互作用以及脂质头基之间的相互作用决定; 脂肪烷基链之间的范德华相互作用相对较弱。 因此,当通过压缩单分子层来增加压力时,这主要是界面处静电相互作用增加的结果,而用于排列这些烷基链的烷基链之间范德华相互作用的增加预计将保持相对较弱。 然而,当通过将光脂从反式转换为顺式来降低表面自由能(增加表面压力)时,密度不会增加。 相反,XVDEVIOS官方下载免费版认为顺式状态下的表面自由能降低(压力增加)是由于水界面上的静电相互作用增加,因为其偶极子较大。 因此,XVDEVIOS官方下载免费版的结果表明,偶氮苯偶极子接近表面,导致顺式态的足迹明显大于反式态,这可能是由于某些尾部形成了环。 这意味着,有效地,头基区域变得更加拥挤,但含有烷基链的非极性区域变得不那么密集,从而允许烷基链具有更大的构象自由度和更少的烷基链顺序。 因此,尽管压力增加,但观察到烷基链顺序降低。
图6d和7d显示了脂质-反-顺式转换如何同时产生更高压力和更低阶数的示意图。
水面上单分子层膜通过磷脂光控开关实现可逆光学控制——摘要、介绍





