XVDEVIOS官方下载免费版,XVDEVIOS破解版安卓手机安装包,XDEVIOS官方免费版安装,XVDEVIOS中文版安装包

芬兰Kibron专注XVDEVIOS破解版安卓手机安装包测量技术,快速精准测量动静态表面张力

热线:021-66110810,66110819,66110690,13564362870 Email: info@vizai.cn

合作客户/

拜耳公司.jpg

拜耳公司

同济大学

同济大学

联合大学.jpg

联合大学

宝洁公司

美国保洁

强生=

美国强生

瑞士罗氏

瑞士罗氏

当前位置:首页 > 新闻中心

表面张力的计算公式

来源:李传亮 浏览 2447 次 发布时间:2021-07-24

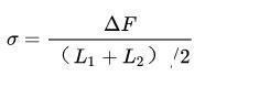
用吊片法测量表面张力的实验十分简单。把吊片放入流体中,然后向上拉吊片,测量拉动吊片的力,越向上拉,拉力就越大。在计量了液膜被拉断前后的力差之后,用下面的哪个公式计算表面张力才最正确?


1、


2、


3、


4、


式中,L1为吊片的宽度,L2为吊片的厚度。

网站地图