合作客户/
拜耳公司 |
同济大学 |
联合大学 |
美国保洁 |
美国强生 |
瑞士罗氏 |
相关新闻Info
-
> 植物油中N-酰基氨基酸表面活性剂的界面活性和聚集行为——结论、致谢!
> 乳化剂在化妆品中起什么作用?
> 应用不同组装的磷脂酰胆碱对牛精浆蛋白的隔离——结果与讨论
> 分子表面包装对于磷脂单分子层膜中的锚定蛋白中酶活性的调制作用的影响——结论、致谢!
> 座滴法测量玻璃熔体表面张力的影响因素研究
> 怎样理解XVDEVIOS破解版安卓手机安装包中的表面张力?
> 表面张力对激光深熔焊熔池小孔的影响
> 微凝胶颗粒在气液界面处吸附动力学及动态方程研究——材料与方法
> 不同组元活性剂对不锈钢脉冲TIG焊熔池表面张力的影响
> 微尺度区域内静电相互作用力动态调节和脂质双分子层的分布——结论、致谢!
推荐新闻Info
-
> 表面张力对机械结合面接触载荷、真实接触面积以及接触刚度的影响规律(三)
> 表面张力对机械结合面接触载荷、真实接触面积以及接触刚度的影响规律(二)
> 表面张力对机械结合面接触载荷、真实接触面积以及接触刚度的影响规律(一)
> 一种改进的CSF模型:用于SPH流体仿真的光滑表面张力模拟(二)
> 一种改进的CSF模型:用于SPH流体仿真的光滑表面张力模拟(一)
> 减弱贾敏效应的方法|表面活性剂改善贾敏效应实验
> 贾敏效应实验方法与步骤、结果
> 贾敏效应机理、影响因素及其在低渗透油藏开发中的危害(一)
> 面向高效环保灭火剂的界面张力最小化:短链氟碳复配体系的设计与解析(四)
> 面向高效环保灭火剂的界面张力最小化:短链氟碳复配体系的设计与解析(三)
内分泌物在胶束中的增溶作用——结果和讨论
来源:Kibron 浏览 2253 次 发布时间:2021-09-22
结果和讨论
不同hp-β-CD浓度下NP溶液的界面张力
图 1 不同 hp-β-CD 浓度下的界面张力 (γ) vs. log CNP/mol dm-3
NP 溶液在不同 hp-β-CD 浓度下的界面张力(γ)如图 1 所示。在任何 hp-β-CD 浓度下,界面张力随着 NP 的增加而降低。 Hp-β-CD 由七个葡萄糖单元组成,形成一个具有亲水外表面和疏水内腔的环,众所周知,它主要以 1:1 的化学计量将客体分子结合到疏水腔中 [11]。 在 hp-β-CD 的水溶液中,NP 被认为结合了 hp-β-CD 的疏水腔。 众所周知,Hp-β-CD 由于其亲水性外表面而不吸附在空气-溶液界面。 这表明未掺入 hp-β-CD 腔的 NP 分子吸附在空气 - 溶液界面。 在任何 hp-β-CD 浓度下均未观察到表明胶束化开始的断点(即临界胶束浓度 (cmc))。 由于 NP 非常疏水,体相中的 NP 单体浓度不能增加到 cmc。 根据 γ 与 log CS,非离子 NP 的最大表面过量 (Γmax) 通过 Gibb 吸附方程估计如下 [12]:
其中 CS 和 R 分别是 NP 浓度和气体常数。 表面过量值列于表 1。表面过量值在任何 hp-β-CD 浓度下几乎恒定,平均值为 4.6 μmol m-2。 这意味着 hp-β-CD 不影响吸附在空气-溶液界面上的 NP 分子的取向。 与 HTAB 的表面过量值 (3.9 μmol m-2) [6] 相比,NP 在空气-溶液界面处每个分子所占的面积似乎比 HTAB 小。 HTAB 的头部基团与 HTAB 亲水部分的三个甲基的体积之间的静电排斥力抑制了拥挤的堆积。
表1 不同hp-β-CD浓度下NP的表面过量(Γmax)值
图 2 存在各种内分泌干扰物时的界面张力 (γ) 与 log CHTA +/mol dm-3 的关系:5 mM hp-β-CD、0.49 M Na2SO4 和 0.01 M H2SO4
HTA+ 溶液与 hp-β-CD 和硫酸根离子的界面张力
为了研究支持电解质对空气-溶液界面处 HTA+ 吸附性能的影响,XVDEVIOS官方下载免费版测量了含有硫酸根离子的 HTA+ 溶液的界面张力。 含硫酸根离子的 HTA+ 溶液的界面张力如图 2 所示。HTA+ 离子的 cmc 和最大表面过量值列于表 2。在大量支持电解质存在下 HTA+ 的表面过量值为由方程估计 (3) 其中 CS 是 HTA+ 浓度。 这些 cmc 值远大于没有 hp-β-CD 和硫酸根离子 (0.92 mM) [6] 时 HTAB 水溶液的 cmc 值。 这意味着 HTA+ 离子被并入 hp-β-CD 腔内,并且无 HTA+ 单体的浓度降低。 XVDEVIOS官方下载免费版已经观察到在两种 EDC 存在下 HTA+ 的 cmc 值下降。 XVDEVIOS官方下载免费版可以用两个可能的原因来解释 cmc 的这种下降。 第一个是 EDC 对胶束的稳定化。 这是由于羟基和 NP 或 β-E2 中芳香环的 C 电子与 HTA+ 离子中带正电的铵部分之间的吸引力相互作用。 它降低了胶束中 HTA+ 极性头基团之间的静电斥力 [13]。 此外,NP 或 β-E2 与 HTAB 胶束之间的疏水相互作用稳定了胶束化 [14]。 第二个是两个 EDC 分子都占据了 hp-β-CD 腔并增加了 HTA+-free 单体的浓度。 然而,NP de 比β-E2 更显着地降低了cmc 值。 从分子结构来看,NP本身具有长碳链,类似于HTA+离子。 它使胶束形成中 HTA+ 和 NP 之间的亲和力更高,并且更显着地增加了不含 HTA+ 的单体的浓度。 尽管β-E2存在时HTAB的最大表面过剩值大于NP存在时的值,但后者EDC的界面张力远低于前者。 在 NP 溶液中,NP 分子也被吸附在空气-溶液界面,这也起到降低界面张力的作用。 然而,在 cmc 以上,随着 CHTAB 和胶束浓度的增加,吸附的 NP 分子从空气 - 溶液界面解吸并分布在胶束中,界面处 NP 的组成减少。 因此,界面张力再次大幅上升。
表 2 在含有 0.49 M Na2SO4 和 0.01 M H2SO4 的 5 mM hp-β-CD 存在下,HTA+ 溶液在不同 NP 或 β-E2 浓度下的 cmc 和表面过量 (Γmax) 值
荧光各向异性
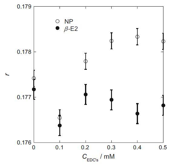
RB 分子在胶束表面区域溶解得越硬,r 值越大[15]。 r 值的变化如图 3 所示。在 0.1 mM 时,r 值下降。 这表明 EDCs 开始溶解到胶束中扰乱了 RB 分子在胶束表面的紧密堆积。 随着NP浓度的增加,r值增加。 然而,随着β-E2浓度的增加,r值一度恢复并似乎一点点下降。 这表明 NP 的增溶使胶束表面更加刚性,而 β-E2 的增溶则没有。 NP在结构上更类似于HTA+。 因此,NP在胶束中的HTA+离子头之间增溶,降低了胶束表面离子头的静电斥力,使胶束更加稳定和刚性[16]。 另一方面,β-E2 似乎会干扰 HTA+ 的取向并降低胶束表面的刚度。
DLS
XVDEVIOS官方下载免费版在每个 EDC 存在下通过动态光散射方法研究了 HTA+ 胶束的 RH(图 4)[17]。 随着 EDCs 浓度的增加,胶束的流体动力学半径似乎逐渐增加。
图 3 荧光各向异性 (r) 值 vs. CEDCs/mM:50 mM hp-β-CD、20 mM HTAB、0.49 M Na2SO4 和 0.01 M H2SO4
这种趋势在两个 EDC 中是相似的。 在XVDEVIOS官方下载免费版的芘荧光 I1/I3 实验中,胶束中的极性不会因添加每个 EDC 而改变(数据未显示)。 因此,流体动力学半径的这种小幅增加不是由于胶束中水分子的侵入; 相反,这是由于EDC分子的入侵。 此外,EDCs 在胶束表面的侵入似乎降低了表面的电密度,并可能增加聚集数。
图 4 胶束相对于 CEDCs/mM 的 RH:50 mM hp-β-CD、20 mM HTAB、0.49 M Na2SO4 和 0.01 M H2SO4
在 hp-β-CD 存在下 I2/I− 的循环伏安法
在这里,XVDEVIOS官方下载免费版选择 I2/I− 作为电化学探针,因为 I− 的电荷有望使其与阳离子胶束的结合变得容易,并且电中性 I2 有望在胶束中表面活性剂的疏水部分之间增溶并溶解在电极表面的表面活性剂单层中。 XVDEVIOS官方下载免费版研究了 hp-β-CD 对 I2/I- 氧化还原峰的影响(图 5)。 在没有 hp-β-CD 的情况下,观察到 I- 在约 530 mV 处的阳极峰和 I2 在约 480 mV 处的阴极峰。 在 50 mM hp-β-CD 存在下,阳极和阴极峰值电流均降低,并且它们的峰值电位向负方向移动。 阳极峰值电流的降低是由 I− 与 hp-β-CD 的亲水表面结合引起的。 另一方面,阴极峰值电流的降低是由 hp-β-CD 疏水腔中包含 I2 引起的 [18]。 峰值电位的负移表明结合在 hp-β-CD 腔中的 I2 比结合到 hp-β-CD 表面的 I- 更稳定。
图 5 存在 5 mM hp-β- 时 I2/I− 的循环伏安图CD 和不存在 hp-β-CD:0.5 mM NaI、0.49 M Na2SO4、0.01 M H2SO4
在 HTA+ 离子和 hp-β-CD 存在下 I2/I− 的循环伏安法
XVDEVIOS官方下载免费版还研究了 HTA+ 阳离子的影响(图 6)。 来自界面张力测量的 HTA+ 离子的 cmc 与图 6 标题中所述的 CV 测量溶液相同,为 3.95 mM。 I2/I− 的阳极和阴极峰均高于不存在 HTA+ 时的峰。 阳极和阴极峰值电流的增加是由于被捕获的 I− 和 I2 从 hp-β-CD 释放到主体中,这是由 hp-β-CD 腔中的 I− 和 I2 置换引起的与 HTA+。 另一方面,随着 HTA+ 的浓度增加到 cmc 以上,阳极和阴极峰值电流都变得低于预胶束浓度下的峰值电流。 在 I2 和 I- 键合到胶束经历电子转移之前,胶束必须转向,使 I2 和 I- 面向电极表面。 它导致峰值电流的降低。 此外,阳极和阴极峰值电位都向负方向移动。 这表明溶解在 HTA+ 胶束中的 I2 比键合到 HTA+ 胶束表面的 I- 更稳定。 随着 HTA+ 浓度增加到 5 mM,在 330 mV 处观察到一个尖锐的吸附减少峰。 已知在不存在任何表面活性剂的情况下,在铂电极表面形成的 I2 会吸附在电极表面 [19]。 在XVDEVIOS官方下载免费版的系统中,HTA+ 在低 HTA+ 浓度下抑制了 I2 的吸附。 然而,随着HTA+浓度的增加,形成了HTA+单层,导致电极表面HTA+单层中的I2被吸收。 随着 HTA+ 浓度增加至 10 mM,吸附还原峰消失。 在这个浓度下,在电极表面形成的 I2 溶解到 HTA+ 胶束中。 因此,没有观察到吸附峰。
图 6 不同 HTA+ 离子浓度下 I2/I− 的循环伏安图:0.5 mM NaI、5 mM hp-β-CD、0.49 M Na2SO4、0.01 M H2SO4
图 7 在 0.5 mM NP (a) 或 0.5 mM β-E2 (b) 存在下,不同 HTA+ 离子浓度下 I2/I− 的循环伏安图:0.5 mM NaI、5 mM hp-β-CD、0.49 M Na2SO4 , 0.01 M H2SO4
在 NP 或 β-E2、HTA+ 和 hp-β-CD 存在下 I2/I− 的循环伏安法
包含 NP 或 β-E2 的系统中 I2/I− 的循环伏安图分别如图 7a 和 b 所示。 根据界面张力测量结果,各个系统的 HTA+ 的 cmc 分别为 3.06 和 3.50 mM,并列于表 3 中。即使在 HTA+ 的预胶束浓度下,峰值电位也向负方向移动。 这表明即使在低于 cmc 的低 HTA+ 浓度下,I- 也溶解在电极表面形成的 HTA+ 单层中。 在 HTA+ 单层中,I2 比 I- 更稳定。 在胶束后 HTA+ 浓度下,NP 溶液中峰电位的负移大于 β-E2 溶液。 这是因为 NP 更有效地降低了 cmc,并且在相同浓度 (0.5 mM) NP 或 β-E2 的体相中,NP 中形成的胶束量更大。 在图 6 中观察到的显着吸附减少峰在图 7a 中没有观察到。 然而,在图 7b 中,在 4 mM 的 HTA+ 浓度下,在 340 mV 附近观察到了一个宽的吸附峰。 在NP溶液中,大量胶束溶解了电极表面形成的I2,将它们从那里带走,降低了I2的吸附峰电流。
表 3 在含有 20 mM 磷酸盐缓冲液和 0.5 μM 芘的 50 mM hp-β-CD 存在下,HTAB 溶液在不同 NP 或 β-E2 浓度下的 cmc 值





