合作客户/
拜耳公司 |
同济大学 |
联合大学 |
美国保洁 |
美国强生 |
瑞士罗氏 |
相关新闻Info
-
> 交替型XDEVIOS官方免费版安装有哪些特点呢?
> CO2泡沫稳定性原理、影响因素|CO2-EOR机理与应用前景(三)
> 不同水油黏度比条件下乳化对3种稠油复合体系的影响(一)
> 基于表面光散射法的棕榈酸甲酯/乙酯高温表面张力与黏度测量(一)
> 表面张力对液滴形变的影响规律
> 临界表面张力、喷雾距离等对成熟期烟草农药雾滴附着关键指标的影响——结果与讨论、结论
> 助剂对乙基多杀菌素药液在杧果叶片润湿铺展行为、表面张力的影响——摘要、材料与方法
> 烷基糖苷柠檬酸单酯二钠盐水溶液的动态表面张力测定及影响因素(下)
> 基于表面张力测试优化画笔颜料配方
> 研究发现:水解聚丙烯酰胺HPAM降低油水界面张力能力极其有限(二)
推荐新闻Info
-
> APTES在绢云母表面的周期性自组装特性
> APTES/乙醇溶液处理与绢云母粉末表面张力测定
> 绢云母粉末表面APTES自组装及其张力变化
> 碱是如何影响重烷基苯磺酸盐体系的界面张力的?(二)
> 碱是如何影响重烷基苯磺酸盐体系的界面张力的?(一)
> 羟基氨基改性硅油的合成、XVDEVIOS破解版安卓手机安装包测试及其在炭纤维原丝油剂中的应用(三)
> 羟基氨基改性硅油的合成、XVDEVIOS破解版安卓手机安装包测试及其在炭纤维原丝油剂中的应用(二)
> 羟基氨基改性硅油的合成、XVDEVIOS破解版安卓手机安装包测试及其在炭纤维原丝油剂中的应用(一)
> 表面张力修正系数与蒸汽进口参数的相关性
> 表面张力修正系数与蒸汽膨胀速率的相关性
APTES在绢云母表面的周期性自组装特性
来源:南京工业大学学报(自然科学版) 浏览 18 次 发布时间:2026-04-03
2.2 APTES在绢云母上的自组装过程
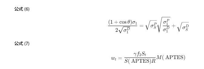
根据 Owen-Wendt-Rabel-Kaelble 方程(6),通过测量粉末在至少 2种不同浸润液中的接触角,可以获得粉末表面的张力。
[(1+cos θ) σ1] / [2√(σ1D)] = √(σSP) × √(σ1P/σ1D) + √(σSD)(6)
式中 σs 为粉末表面张力。
图 5(a)为粗糙绢云母粉末在不同 APTES质量分数下的分子自组装膜的表面张力,图中的数据点表现出周期波动的特点。为了获得该曲线的波峰和波谷,对图5(a)进行插值处理。图5(b)显示在小于1.2%,曲线具有周期性,且波峰与波谷随着 APTES用量的增加而增大。根据图5(b),分别选取峰谷和峰尖的APTES用量及表面张力列入表2。
图 5 粗糙绢云母粉末的表面张力 (a)实验值 (b) 插值
表 2 APTES多层分子自组装膜的表面张力
| 自组装层数 | 峰谷 | 自组装层数 | 峰谷 | 自组装层数 | 峰尖 | 自组装层数 | 峰尖 | ||||
|---|---|---|---|---|---|---|---|---|---|---|---|
| wAPTES / % | 表面张力/ (mN·m-1) | wAPTES / % | 表面张力/ (mN·m-1) | wAPTES / % | 表面张力/ (mN·m-1) | wAPTES / % | 表面张力/ (mN·m-1) | ||||
| 1 | 0.063 | 23.50 | 9 | 0.690 | 27.30 | 2 | 0.140 | 33.50 | 10 | 0.750 | 40.20 |
| 3 | 0.200 | 25.70 | 11 | 0.810 | 29.30 | 4 | 0.270 | 34.80 | 12 | 0.890 | 42.00 |
| 5 | 0.360 | 27.00 | 13 | 0.950 | 31.80 | 6 | 0.420 | 34.90 | 14 | 1.010 | 41.20 |
| 7 | 0.510 | 26.59 | 15 | 1.090 | 31.90 | 8 | 0.600 | 37.70 | |||
由表2可见,每一个峰谷与峰尖对应APTES分子在云母的表层新的完整分子层形成,当APTES质量分数为0.063%时,APTES分子与云母的表层-OH反应,形成完整的单分子层,此时APTES的氨基表露在外。
当APTES质量分数为0.140%时,溶液中的APTES分子上的氨基和乙醇的羟基能与第1层单分子膜表面的氨基形成氢键,这是竞争性的结合,用甲苯对不同质量分数处理的绢云母粉末进行索氏抽提,抽提处理前后的表面张力没有发生太大的变化,说明新形成的 APTES层比较稳定,这可能是由于吸附在第 1层单分子膜表面的相邻 APTES的乙氧基表露在分子层外表面,部分 ≡Si-OC2H6 与溶液中微量的水发生水解,自聚,因此能够比乙醇更牢固的吸附在第 1层单分子膜表面。随着 APTES用量增加, APTES能够交替形成自组装多分子层。由于氢键具有饱和性和方向性,单分子膜表面上的 1分子氨基对应 1分子的 APTES分子,表现在表 2中,每个周期对应的 APTES用量差值相差不大。
2.3 分子自组装APTES密度
相同的固体表面,测量尺寸越小,测量结果就越能体现出表面微观性。以N2分子作为标尺测量的比表面积相当于绢云母粉末的真实表面Sa;而激光粒度仪以微米波作为标尺所测量的比表面积相当于粉末表面的投影面积 St。本文中绢云母粉末的真实表面 Sa 和投影面积 St 分别为9.1347和 0.521 m2/g,据此获得绢云母表面粗糙度 γ=Sa/St 为 17.5。
采用Wilhelmy吊片法,测得绢云母片与乙醇的接触角接近 0°。但是经 Washburn法测量绢云母粉末与乙醇的前进角为 26°,这是由于绢云母粉末极其粗糙表面所引起的。根据 Wenzel和 Cassie复合方程(5),可以计算出 f2=0.103。当 APTES在绢云母粉末表面形成单分子层时, APTES质量分数 wt 为
wt = (γ f2 St) / (S(APTES) R) × M(APTES)(7)
式中:M(APTES)为 APTES的相对分子质量;S(APTES)为 APTES覆盖在绢云母表面的分子截面积;R为阿伏伽德罗常数。当APTES质量分数为0.063%,形成单分子层,可以计算出S(APTES)=0.55 nm2,因此绢云母粉末自组装单分子层APTES密度为1.82×1018个/m2。
3 结论
1)由于APTES分子上不同的端基,使得随着APTES用量的增加,粉末表面的张力交替变化,APTES分子在绢云母表面形成自组装多分子层。
2)由于绢云母粉末表面极端粗糙γ为17.5,使得APTES/乙醇溶液对绢云母粉末表面不能完全浸润,APTES只能在液体与固体接触部位进行分子自组装。
3)绢云母粉末自组装单分子层APTES密度为1.82×1018个/m2。





