合作客户/
拜耳公司 |
同济大学 |
联合大学 |
美国保洁 |
美国强生 |
瑞士罗氏 |
相关新闻Info
推荐新闻Info
-
> 表面张力对机械结合面接触载荷、真实接触面积以及接触刚度的影响规律(三)
> 表面张力对机械结合面接触载荷、真实接触面积以及接触刚度的影响规律(二)
> 表面张力对机械结合面接触载荷、真实接触面积以及接触刚度的影响规律(一)
> 一种改进的CSF模型:用于SPH流体仿真的光滑表面张力模拟(二)
> 一种改进的CSF模型:用于SPH流体仿真的光滑表面张力模拟(一)
> 减弱贾敏效应的方法|表面活性剂改善贾敏效应实验
> 贾敏效应实验方法与步骤、结果
> 贾敏效应机理、影响因素及其在低渗透油藏开发中的危害(一)
> 面向高效环保灭火剂的界面张力最小化:短链氟碳复配体系的设计与解析(四)
> 面向高效环保灭火剂的界面张力最小化:短链氟碳复配体系的设计与解析(三)
合成脂质体类姜黄素纳米粒子的自组装——结果和讨论
来源:上海XVDEVIOS官方下载免费版 浏览 2824 次 发布时间:2021-11-18
三、结果和讨论
图1显示了核壳颗粒组装的SEM图像。这清楚地显示了直径为158±5 nm的球形颗粒(粒径的高斯分布在插图A中给出),具有暗芯和浅电晕(插图B)。典型的磁芯直径约为100 nm,电晕宽度约为40 nm。通过光散射实验确定了组件的直径。光散射数据分析得出的直径为100–200 nm,最大颗粒数的直径为161±10 nm,这与从SEM数据获得的尺寸一致(从DLS获得的颗粒尺寸的高斯分布在ESI†图S2中给出)。EDAX结果证实了粘土片在组件中的位置。图2(A)和(B)显示了给定结构在两个不同位置(xP1和xP2)的能量色散分布。它们清楚地显示了核心(xP1)内不存在硅(粘土结构中的主要元素之一),以及日冕(xP2)中硅的丰度。33,34这证实了粘土片被排除在这些结构的核心之外。因此,可以得出结论,核心是疏水的,主要含有姜黄素纳米颗粒(姜黄素不溶于水),而外壳(电晕)具有自组装血小板的倾向(LAPONITE®不溶于乙醇)。因此,XVDEVIOS官方下载免费版有一个结构,其中的核心是一个有机相(乙醇)周围的水晕。由于其溶解性偏好,姜黄素纳米颗粒和LAPONITE®血小板分别优先位于有机相和水相。
图1显示由纳米粘土(0.05%)和姜黄素纳米颗粒形成的粘土小体组装体的SEM图像。插图(A)显示了粘粒的高斯粒度分布(从SEM图像获得)。发现大多数粘土体(核-壳)颗粒的直径为158±5 nm。插图(B)显示了由纳米粘土壳和壳厚度为40 nm的姜黄素纳米颗粒核形成的单个粘土体。
图2粘土体结构的EDAX光谱,描绘了电晕中纳米粘土(含高百分比硅含量)和核心内姜黄素纳米颗粒(不含硅含量)的存在。请注意,“x”表示EDAX测量点。
使用电泳法测量核壳姜黄素纳米颗粒表面的静电电位(zeta电位)(图3(A))。值得注意的是,姜黄素和纳米粘土均受临界平衡斥力的控制,而不考虑姜黄素和纳米粘土在界面处具有相同极性(负)的zeta电位。关于复杂系统中负责稳定性的不同力的更多细节将在后面的章节中进行理论讨论。此外,还测量了分散体的zeta电位,作为室温下纳米粘土浓度的函数。该电位随着系统中纳米粘土浓度的增加而增加(图3(B))。最初,当纳米粘土浓度较低时,电晕较薄,这有利于形成稳定的粘粒组装体,这进一步得到较高zeta电位值的支持。随着纳米粘土浓度的增加,电晕尺寸增加(>100nm),zeta电位也发生了同样的情况,这反过来又在复杂系统中产生了不稳定性。
图3(A)描绘姜黄素、纳米粘土和粘土小体的zeta电位的直方图。插图显示了姜黄素在乙醇中的分散,纳米粘土在水中的分散,以及由纳米粘土在无水乙醇环境中稳定的姜黄素纳米颗粒组装而成的粘粒结构(颜色的变化(插图中所示)清楚地表明了姜黄素和纳米粘土之间的相互作用)。(B) 粘土小体组装的zeta电位随纳米粘土浓度的变化。这清楚地表明了在较低浓度的纳米粘土中组装的稳定性。箭头表示粘土成分。
图4示意图显示了在电晕中存在纳米粘土团和限制在疏水核内的疏水姜黄素纳米颗粒的粘土体结构的形成。
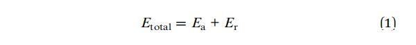
3.1理论模型
纳米粘土和姜黄素纳米颗粒的自组装示意图如图4所示。自组装的形成是复杂系统中不同作用力之间平衡的结果。系统的总能量Etotal是系统中的吸引能Ea和排斥能Er之和,由下式给出:
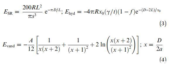
两种平衡力在组装的形成中起着重要作用:由两种粒子之间的界面力控制的疏水相互作用,以及纳米粘土团簇和系统疏水环境之间的空间斥力。因此,复杂核-壳(粘土小体)组装的总能量由以下三个贡献的总和给出:相邻纳米粘土团簇之间的空间斥力(ESR)、9疏水力(Ehyd)、9和范德华力(Evand):34
这三项个人贡献可以写成:
因此,总相互作用能由下式给出:
式中,R是单个姜黄素纳米颗粒的尺寸;a是姜黄素簇的大小(核心);L是粘土团(电晕)的尺寸;s是纳米粘土簇之间的距离(或纳米粘土簇的足迹直径),如图4所示;x0是疏水力的衰减长度;g是LAPONITE®和姜黄素混合体系中的界面张力;t为核内疏水姜黄素和壳内水相中有机(醇)相形成的界面区厚度;f定义系统中的疏水度,其中f¼1表示零疏水性,这意味着水的纯溶剂,f¼0对应于具有最大疏水性的系统,这是指乙醇;A是Hamaker常数。34,35粘土体结构的给定自组装仅在乙醇和水的1:1混合比下形成,因此f¼0.5,相应的界面表面张力(测量)为g¼40 mN m-1。通过SEM测量,姜黄素纳米颗粒的大小及其簇大小分别为R¼50 nm和a¼150 nm。
3.2堆芯和外壳之间接口区域的作用
疏水核(有机)和亲水壳(水)之间的界面区域对稳定组装的形成起着重要作用。它维持排斥能屏障,抵抗核心内存在的吸引疏水能。屏障抑制姜黄素纳米颗粒的聚集,并支持所形成的粘土小体组装(或核壳纳米颗粒)的稳定性。该势垒对电晕中纳米粘土团簇的尺寸高度敏感。图5(A)和6(A)显示了总能量随界面区域厚度的变化。势垒高度随纳米粘土团簇长度的增加而增加,随足迹直径的减小而减小。当L>80nm和s<30nm时,它变得高度排斥。
计算了粘粒结构(纳米粘土-纳米颗粒相互作用)之间的相互作用能,作为粒子间距离的函数。它显示了深度极小值,如图5(B)和6(B)所示。能量景观中的极小值表示粘粒结构组装的稳定性。某些粘土结构可能在与长程最小值相当的距离处形成松散的絮凝物,但这些絮凝物可能会重新分散。图5(B)和6(B)显示了复杂系统的能量随纳米粘土团簇(L和s)尺寸的变化。这清楚地表明,极小值的深度随着纳米粘土团簇(L)长度的增加而减小。当L<40 nm时,能量具有高度吸引力,因此形成排斥势垒(电晕)所需的纳米粘土团簇的最小长度为40 nm。当L>80nm时,能量变得高度排斥,没有极小值。因此,只有当纳米粘土片形成尺寸为40
图5纳米粘土簇的长度对粘土小体组装的影响。(A) 作为界面区域厚度函数的能量变化(s¼60 nm;T¼298 K,f¼0.5;姜黄素纳米颗粒半径R¼50 nm,疏水衰减长度x0¼1 nm,界面张力¼40 mN m-1)。(B) 粘粒–粘粒相互作用作为粒间分离D的函数,使用方程(5)计算。当存在大的纳米粘土团簇时,能量最小值的深度减小,当L>80nm时,能量变得完全排斥。





